1

My question is what is derivative of infinity ?Is it 0 ? Yes you are right , this seems a nonsensical question . Definitely its not 0 because $\infty$ is not a constant , its an approaching tendency . So basically i know derivative of infinity is indeterminate .

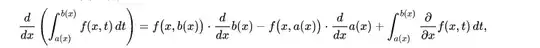
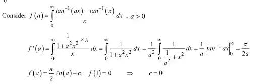
My doubt arised when i tried to solve the following integral - $$\int_0^\infty \frac{(\tan^{-1}(ax)-\tan^{-1}(x))}{x}\,dx.$$ TO solve this we have to differentiate this integral with respect to $a$. Hence when we use leibniz formula - enter image description here This is how this integral was evaluated .We differentiated this integral with respect to $a$ - enter image description here

While differentiating this why do we put $\frac{d(\infty)}{dx}=0$ that is why does the term $f(x,b(x))b′(x)$ disappear. I know $\int_0^\infty$ is actually shorthand for $\lim_{b\to\infty}\int_0^b$ but still $\lim_{b\to \infty}\frac{d(b)}{dx}$ is not 0 ,is it ?

Jochen
  • 2,260
  • Please show how the formula was used to evaluate the integral, then we can comment on it. – Matti P. Aug 23 '21 at 09:33
  • edited. Now can the downvoter tell me why was it downvoted ? – Raghav Madan Aug 23 '21 at 09:38
  • 1
    We use the Leibniz formula. – Paul Frost Aug 23 '21 at 09:43
  • 5
    I believe it was downvoted because the question is unclear and at first glance makes no sense. However, I think you mean: why does the term $f(x,b(x))b’(x)$ disappear? To answer that, think about the bounds of that integral, and whether or not they depend on $a$ at all... “What is the derivative of infinity?” Doesn’t make sense because infinity is not a function of a variable (unless you clearly edit your question to show what you mean!) – FShrike Aug 23 '21 at 09:44
  • Also, $\int_0^\infty$ really means $\lim_{n\to\infty}\int_0^n$, which might highlight A) why the question title is confusing and B) why the term $f(a,b(a))b’(a)$ disappears – FShrike Aug 23 '21 at 09:47
  • Ah, now I see where you are confused. When you have $\infty$ as the limit, you kinda have set $b(x) = \infty$ in your logic. But this is not really feasible, because infinity is not a real number. You could not really evaluate this kind of function. But how can it be a limit of the integral? It's because $\int_0^{\infty}$ is actually shorthand for $\lim_{b \to \infty} \int_a^b$. You have to do it that way. And whatever you do, the upper limit is not a function of $x$, so its derivative is anyway zero. – Matti P. Aug 23 '21 at 09:48
  • @FShrike Thank you, I could not make sense of the OP without your comment. FShrike and Matti, note that there is a limit interversion to justify (let b=n = constant, prove that is the limit as n tends to infinity of the derivative equal to the derivative of the limit when n tends to infinity). Or you use a different theorem. Downvoters: It is true that the question is not well asked and has an absurdly provokative title. However, the actual math question behind it is interesting. – Arnaud Aug 23 '21 at 09:57
  • @Arnaud I can see why this would need proving for a non constant function but a constant, even in a limit, has $b(x+h)-b(x)=b-b=0$ always so surely the derivative of the limit is equal to the limit of the derivative straightforwardly, without any further ado? – FShrike Aug 23 '21 at 10:09
  • @everyone , i edited this question – Raghav Madan Aug 23 '21 at 10:13
  • We have answered your question in the comments however - mine, Matti P’s and Arnaud’s comment cover all bases pretty much – FShrike Aug 23 '21 at 10:14
  • Also, you need to @ everyone if you want their reply so you must @Arnaud and then @ Matti individually since MSE won’t let you @ multiple people on one comment – FShrike Aug 23 '21 at 10:15
  • Your first sentences are not understandable : "derivative of infinity" is indeed meaningless ; you should say "derivative of a certain function $\color{red}{at}$ infinity" – Jean Marie Aug 23 '21 at 10:31
  • Why the downvotes? I think this is a good question. – K.defaoite Aug 23 '21 at 12:16

2 Answers2

3

I think you can use the Frullani's integral:

$$\int_0^{\infty}\frac{f(ax)-f(bx)}{x}dx=(f(\infty)-f(0))\ln{\left(\frac{a}{b}\right)}$$

where $f$ is a function defined for all non-negative real numbers that has a limit at $\infty$ , which we denote by $f(\infty )$. In our case

$$f(x)=\tan^{-1}{x}\rightarrow$$

$f(\infty)=\frac{\pi}{2}$, $f(0)=0$ and $b=1$ $\rightarrow$

$$I=\frac{\pi}{2}\ln{a}$$

metamorphy
  • 39,111
Vasile
  • 344
3

Note

Just a try, this is a good question by OP and I can't think of a direct clear cut answer to it.. but I'll try my best. Please comment if there are any logical mistakes in my answer.

The variables.

One thing I'd like to point your attention is that there are two variables here in the integration and differentiation. It is of $a$ and $x$. We integrate over $x$ and differentiate over $a$. It maybe noted that the final expression is entirely in $a$ because we 'integrate out' the variable of $x$. A quick example may help:

$$ \int_0^2 x dx = \frac{2^2}{2}$$

You may see that left side had expressions in $x$ and the right side is just a number

Feynman's trick (i.e: Leibniz rule under some simplifying assumptions)

Firstly, we are not exactly using the formula in the quoted text. We are using a simplified version of that. This version pop's out when you assume the bounds are constant:

$$ \frac{d}{dx} \int_a^b f(t,x) dt = \int_a^b \frac{\partial f(t,x)}{\partial x} dt$$

What we call Feynman's trick is usually the above result. Not the general quoted formula you have given. Due to this, we don't have to care for $\frac{db}{dx}$ or $ \frac{da}{dx}$.

You may be curious as to how to deal with the bounds varying, in that case understanding the total derivative will help you to understand that. Please see the answers to this question I have written.


If you are to insist on how to reduce Leibniz to this case, then..:

$$ \frac{d}{dx} \lim_{b \to \infty} \int_{0 }^{b(x)} f(x,t) dt= \lim_{ b \to \infty} \left[ f(x,b(x) ) \frac{db}{dx} + \int_{0}^{b} \frac{\partial f}{\partial x} dt \right]$$

Now, the problematic term is $\lim_{ b \to \infty}f (x,b(x) ) \frac{db}{dx}$, let's assume that both limits in product exist, this boils down the issue to:

$$ \lim_{ b \to \infty} \frac{db}{dx}$$

Question: Is $b$ parameterized by $x$ here? meaning, as you crank the $x$ variable, does $b$ change? answer:no. Hence we figure out that $b$ is a constant function of $x$:

$$ \frac{db}{dx} = \lim_{ h \to 0} \frac{b(x+h) - b(x)}{h} = \lim_{ h \to 0} \frac{b-b}{h} $$

Under application of l'hopital to the last equality., we find the derivative is zero at all points... and we recover Feynman's trick.