As a high school student,I understand the basic,theoretical difference between the two, as in, limit is what that function approaches as the input approaches something (but never equal to it) or how it behaves near that point etc etc. But sometimes it doesn't seem to make sense.
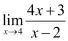
Like Some textbooks, when evaluating certain simple limits like this:

They just substitute the value 4 and evaluate it like this:
But then how is it different than evaluating the function itself at that point? One can say that here the limit as well as the value at that point will be same, but I'm pointing out the method used here, SIMPLE SUBSTITUTION!
Along with a better understanding of difference between the two, I would also like to understand what it means when both the value at that point and limit are defined but still they are different.Because I have been told that limits are used to evaluate undefined values/expressions like $\frac{0}{0}$ , $\infty / \infty$, $0^{0}$ etc. For Ex-
Both are well defined, still different.What does that difference mean in cases like these?

