Let $f(x) =3x^5 - 15x +5$. By Eisenstein’s Criterion we can show that $f(x)$ irreducible over $\mathbb{Q}$(Since $5 \nmid 3, 5 \vert -15,5$ and $5^2 \nmid 15$). Since $g$ is continuous and $ f( -2 ) = -61, f( -1 ) = 17 ,f( 0 ) = 5,f( 1 ) = -7,f( 2 ) = 71$. So by intermediate value theorem we can say that $f$ has three real roots. Clearly $f'(x) > 0 $ for all $x > 2$ and $f'(x) < 0$ for all $x < -2$. So $f(x)$ is monotone and so $f$ does not have zeroes in these regions. Suppose $f(x)$ has $4$ real zeroes then by using Rolle's theorem we can say that $f'(x)$ should contain at least $3$ zeroes between the roots of $f$. But $f'(x) = 15(x^4 -1)$ does not have $3$ real zeroes. So $f$ has two other complex roots. Let $K$ be the smallest subfield of complex numbers containing $\mathbb{Q}$ and $5$ roots of $f(x)$. Then using fundamental theorem of Galois theory we can say that $Gal(K/\mathbb{Q}) \approx S_5$, the symmetric group of five letters. Since $S_5$ is not solvable, by a theorem of Galois we can conclude that $f(x)$ is not solvable by radicals.
That is each zero of the polynomial $f(x)$ cannot be written as an expression involving elements of $\mathbb{Q}$ combined by the operations of addition, subtraction, multiplication, division, and extraction of roots.
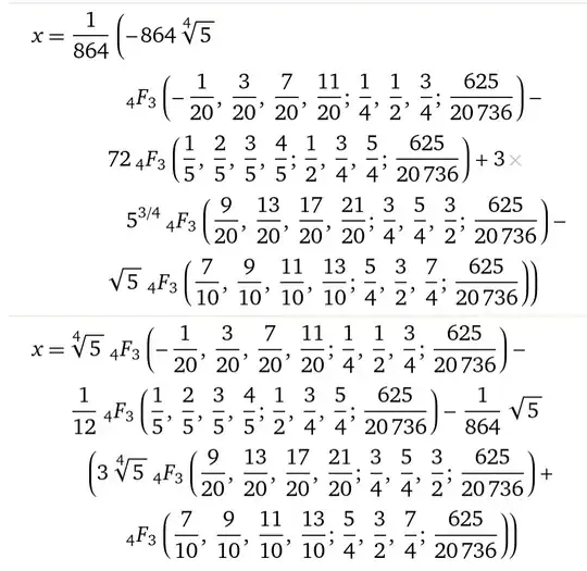
How do the roots of $f$ look like? We have information about the location of real roots but I think that information may not help in finding some expression for roots. Precisely, my question is that that does there exist a series, continued fractions, or some integral which represent the roots of $f(x)$?.

