5

I am interested to know if the following sum has a closed form

$$s_4 = \sum_{n=1}^{\infty}(-1)^n \frac{H_{n}}{(2n+1)^4}\tag{1}$$

I stumbled on this question while studying a very useful book about harmonic series and logarithmic integrals whichh has appeared recently [1]. Checking it for possible missing entries I was led to consider this family alternating Euler sums

$$s(a) = \sum_{n=1}^{\infty}(-1)^n \frac{H_{n}}{(2n+1)^a}$$

where $H_{n} =\sum_{k=1}^{n}\frac{1}{k}$ is the harmonic number, as well as the corresponding integrals

$$i(a) = \int_0^1 \frac{\log ^{a-1}\left(\frac{1}{x}\right) \log \left(x^2+1\right)}{x^2+1} \, dx$$

These are related by

$$i(a) = - \Gamma(a) s(a)$$

As listed in detail in the appendix, closed forms exist for all odd $a=2q+1$. For even $a=2q$ only the case $a=2, q=1$ is known.

Hence, the natural question is to aks for a closed form for the smallest case open up to now, $a = 4$.

What did I do so far

The integral $i(a)$ can be found by differentiation with respect to a parameter $u$ from the generating integral

$$g_i(u) = \int_0^1 \frac{t^u \log \left(t^2+1\right)}{t^2+1} \, dt$$

which is evaluated by Mathematica in terms of hypergeometric functions as follows

$$g_i(u) = \frac{1}{4} \left(-\frac{2^{\frac{u+5}{2}} \, _3F_2\left(\frac{1}{2}-\frac{u}{2},\frac{1}{2}-\frac{u}{2},\frac{1}{2}-\frac{u}{2};\frac{3}{2}-\frac{u}{2},\frac{3}{2}-\frac{u}{2};\frac{1}{2}\right)}{(u-1)^2}\\-2 \pi H_{-\frac{u}{2}-\frac{1}{2}} \sec \left(\frac{\pi u}{2}\right)-\log (4) B_{\frac{1}{2}}\left(\frac{1-u}{2},\frac{u+1}{2}\right)\right)$$

As the parameter $u$ appears in 7 places each derivative generates a factor 7 in the length of the result.

Unless someone comes up with a very clever idea to simplify the hypergeometric expressions this path seems to be hopeless.

Appendix: known closed forms

For positive integer values of $a$ the following results have been obtained:

a) for odd $a=2q+1$

the closed form was calculated in [1], 4.1.15 (4.91) as:

$$s(2q+1) = (2q+1)\beta(2q+2) + \frac{\pi}{(2q)! 4^{q+1}}\lim_{m\to \frac12 }\frac{\mathrm{d}^{2q}}{\mathrm{d} m^{2q}} \frac{\psi(1-m) + \gamma}{\sin(m\pi)}$$

Here

$$\beta(z)=\sum_{k=1}^{\infty}\frac{(-1)^k}{2k+1)^z}$$

is Dirichelt's beta function.

As for a simplification of r.h.s. see https://math.stackexchange.com/a/4139359/198592

b) for even $a=2q$

there is a closed form just for $a=2, i.e. q=1$, found in [1] 4.5.5 (4.187)

$$s(2) = 2 \;\Im \text{Li}_3(1-i)+ \frac{3\pi^3}{32}+\frac{\pi}{8}\log^2(2) -\log(2) G$$

where $G = \beta(2)$ is Catalan's constant.

References

[1] Ali Shadhar Olaikhan, "An introduction to harmonic series and logarithmic integrals", April 2021, ISBN 978-1-7367360-0-5

  • This constant probably cannot be expressed in terms of ordinary polylogarithm, at least not the familiar $\operatorname{Li}_n(1/2), \operatorname{Li}_n(1\pm i)$. On the other hand, it can be expressed by some ${_6F_5}$ or ${_7F_6}$ if my memory serves. – pisco Jun 03 '21 at 14:30
  • @ pisco It can be expressed by derivatives of hypergeometric functions, but I could not find any simplification – Dr. Wolfgang Hintze Jun 03 '21 at 14:33
  • Expressing it as derivative of hypergeometric is quite trivial, what nontrivial is we can get rid of derivative. – pisco Jun 03 '21 at 14:34
  • You want to compute $\displaystyle \int_0^1 \frac{\log ^{3}\left(x\right) \log \left(x^2+1\right)}{x^2+1} , dx$ ? – FDP Jun 03 '21 at 14:43
  • 1
    By the way, it seems the author of the book you mentioned is an active user on MSE. – pisco Jun 03 '21 at 14:44
  • @Pisco: Sure, he is. – FDP Jun 03 '21 at 14:44
  • Sure it is Ali, and I have talked to him about this problem. – Dr. Wolfgang Hintze Jun 03 '21 at 14:48
  • @ pisco "This constant probably cannot be expressed in terms of ordinary polylogarithm, at least not the familiar Lin(1/2),Lin(1±i)" Do you think this can be proved somehow? Or, in other words what is the class of basic functions in terms of which an expression must be expressible to be called closed form? And why not permit hypergeometric functions? – Dr. Wolfgang Hintze Jun 03 '21 at 14:57
  • The computation $\displaystyle \int_0^1 \frac{\log ^{3}\left(x\right) \log \left(x^2+1\right)}{x^2+1} , dx$ is probably related to the computation of $\displaystyle \int_0^1 \frac{\log ^{3}\left(x\right) \log \left(1-x^2\right)}{x^2+1} , dx$ – FDP Jun 03 '21 at 15:01
  • 1
    @Dr.WolfgangHintze Such statement can be formulated rigorously: the value of series is not in $\mathbb{Q}$-span of $${\pi^5, \text{Li}_5(1/2), \text{Li}_5((1\pm i)/2), \zeta(5), \zeta(3)\pi^2, \log^5 2, \text{ additional 26 elements}}$$ But a proof seems currently inaccessible, consider a simpler case: is $\zeta(3)$ in the $\mathbb{Q}$-span of ${\pi^3}$? We are not sure, but the result is very likely no. – pisco Jun 03 '21 at 15:17
  • @FDP Yes, there are related, but they are also equally intractble. – pisco Jun 03 '21 at 15:19
  • @Dr.WolfgangHintze The word "closed form" is vague and its precise parlance is up to context and user's familiarity with special functions. If you are familiar with hypergeometric functions, then you can of course treat them as closed form. – pisco Jun 03 '21 at 15:29
  • @ picsco Yes, I personally would consider hypergeometric functions acceptable but, as you stated correctly, not their derivatives. In your answer you have concincingly shown how to get rid of the derivatives. – Dr. Wolfgang Hintze Jun 03 '21 at 16:15

2 Answers2

4

This constant mentioned by OP probably cannot be expressed in terms of ordinary polylogarithm, at least not the familiar $\operatorname{Li}_n(1/2), \operatorname{Li}_n((1\pm i)/2), \operatorname{Li}_n(1 \pm i)$. However, we do have a hypergeometric representation.


The series given by OP is $-6$ times the integral $$\int_0^1 \frac{\log ^{3}\left(x\right) \log \left(x^2+1\right)}{x^2+1} \, dx = -6 \Im(\text{QMZ}(4,\{4,1\},\{1,0\}))-6 \Im(\text{QMZ}(4,\{4,1\},\{1,2\}))$$ here $$\text{QMZ}(4,\{4,1\},\{1,0\}) = \sum_{n>m\geq 1}\frac{i^n}{n^4m}$$ $$\text{QMZ}(4,\{4,1\},\{1,2\}) = \sum_{n>m\geq 1}\frac{i^n (-1)^m}{n^4m}$$

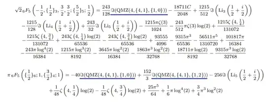
In the paper, it is proved that ($C$ is Catalan constant, $\zeta(\cdot,\cdot)$ is Hurwitz's zeta) enter image description here

so we can solve for the underlined terms, and conclude that the integral, hence original series, can be written as two ${_6F_5}$.

pisco
  • 18,983
1

The interest of pisco and FDP encouraged me try out simple transformations on the integral.

1) Integration by parts

IBP with

$$U=\int \frac{\log \left(t^2+1\right)}{t \left(t^2+1\right)} \, dt = -\frac{\text{Li}_2\left(-t^2\right)}{2}-\frac{1}{4} \log ^2\left(t^2+1\right)$$

$$V=t \log ^3(t)$$

leads to

$$\begin{align}i(3) =& -3 (4 C+2 i \text{Li}_3(-i)-2 i \text{Li}_3(i)+2 i \text{Li}_4(-i)-2 i \text{Li}_4(i)\\&+\pi -16+\log (4))+\frac{3}{4} A+\frac{1}{4}B\end{align}\tag{s1.1}$$

Where C = Catalan's constant and

$$A = \int_0^1 \log ^2(t) \log ^2\left(t^2+1\right) \, dt\tag{s1.2}$$

$$B = \int_0^1 \log ^3(t) \log ^2\left(t^2+1\right) \, dt\tag{s1.3}$$

2) Substitution of integration variable

Letting $x\to \tan(\phi)$ we obtain

$$i(3) = \int_0^{\frac{\pi }{4}} \log ^3(\tan (\phi )) \log \left(\sec ^2(\phi )\right) \, d\phi\tag{s2.1}$$

Observing $\log \left(\sec ^2(\phi )\right) = - 2 \log \left(\cos(\phi)\right) $ and expanding $\log ^3(\tan (\phi ))=\left(\log(\sin(\phi)) -\log(\cos(\phi))\right)^3 $

we end up with four nice integrals of the type

$$i(p,q) = \int_0^{\frac{\pi }{4}} \log ^p(\cos (\phi )) \log ^q(\sin (\phi )) \, d\phi\tag{s2.2}$$

I was able (via the antiderivative, using Mathematica) to solve only this one:

$$\begin{align}i(4,0)=\int_0^{\frac{\pi }{4}} \log ^4(\cos (\phi )) \, d\phi =-\frac{1}{480} \pi \left(15 \left(48 \zeta (3) \log (4)+\log ^4(4)\right)+19 \pi ^4+30 \pi ^2 \log ^2(4)\right)+\frac{1}{192} \left(48 \left(48 \sqrt{2} \, _6F_5\left(\{\frac{1}{2}\}^6;\{\frac{3}{2}\}^5;\frac{1}{2}\right)\\ +\log (2) \left(24 \sqrt{2} \, _5F_4\left(\{\frac{1}{2}\}^5;\{\frac{3}{2}\}^4,\frac{3}{2};\frac{1}{2}\right)\\ +\sqrt{2} \log (64) \, _4F_3\left(\{\frac{1}{2}\}^4;\{\frac{3}{2}\}^3;\frac{1}{2}\right)\\ -2 i \text{Li}_2\left(-\frac{1+i}{\sqrt{2}}\right) \log ^2(2)+2 i \text{Li}_2\left(1-\frac{1+i}{\sqrt{2}}\right) \log ^2(2)\right)\right)\\ -11 i \pi ^2 \log ^3(2)+3 \pi \left(\log (2)+8 \log \left(1+\frac{1+i}{\sqrt{2}}\right)\right) \log ^3(2)\right)\end{align}\tag{s2.3}$$

Numerically we have

$$i(4,0) \simeq 0.00115068$$.

Notice that the components in $(s2.3)$ are similar to those of @pisco's answer: hypergeometric functions of the order up to (6/5), and (poly)logs. No derivatives of the hypergeometric functions appear.

The other three integrals $i(3,1)$, $i(2,2)$, and $i(3,1)$ have resisted up to now and are open to attacks.

3) Collecting knowledge and tentative bottom line

Being grateful for the hints I have consulted this article here and the references therein, and the answer of pisco.

I have not found any expression for e.g. $i(4,0)$ which does not contain at least one hypergeometric function.

Hence may well be that the list of admissible components for "closed forms" must be enlarged to include hypergeometric functions.

After all, also roots of polynomials can't always be expressed in terms of closed forms, called radicals, if the order surpasses a critical value ...

  • Your integral $(s2.3)$ has been mentioned here, it would be worthwhile to read the accepted answer. The other integrals from $(s2.2)$ can be calculated, but the answer will involve your harmonic series anyway. – pisco Jun 04 '21 at 09:04
  • challenging integral in (s2.2). +1 – Ali Shadhar Jun 13 '21 at 18:58