3

I'm reading about the axioms of set theory (from Jech), and I'm having some confusion. There are various parts where it talks about well-formed formulas that include a parameter $p$.

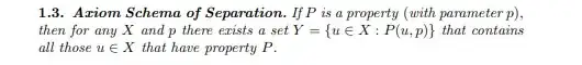
This appears here:

enter image description here

Also here:

enter image description here

Why do we need to include $p$? Couldn't I have just written $\varphi(x, y)$ instead of $\varphi(x, y, p)$?

What kind of parameter is it anyways? Is it a natural number that you plug in? These are very basic questions, but I genuinely don't understand.

1 Answers1

3

I think it may help to see a specific (if rather boring) application. For example, suppose we want to show the following:

$(*)\quad$ For every $p$ and every set $A$, the class $$\{\{a, p\}: a\in A\}$$ is a set.

This is a variant of the argument that for every set $A$ the class $\{\{a\}: a\in A\}$ is a set.

The $p$ above enters the Replacement scheme as a parameter: the result $(*)$ follows from the instance of replacement corresponding to the three-variable formula $$\varphi(x,y,z)\equiv y=\{x,z\}$$ (or a bit more precisely, "$\forall u(u\in y\leftrightarrow u=x\vee u=z)$"), since this instance says exactly "For all $A$ and all $p$ the class of $y$ such that for some $x\in A$ we have $\varphi(x,y,p)$ is a set."

Now it turns out that we ultimately don't need to include parameters in our axioms after all - see here. But this is a very nontrivial and context-specific result; "morally speaking," it is important to include parameters in the Separation and Replacement axioms.

Noah Schweber
  • 245,398
  • Sorry for such a late response, but I have one remaining question. Why can't I include the $p$ variable as part of the well-formed formula, so instead of writing $\varphi(x, y, p)$ I'd write $\varphi_{p}(x, y)$ where $\varphi_{p}$ is the formula that includes $p$. – Maximal Ideal Jul 08 '21 at 15:02
  • @MaximalIdeal What does that even mean? What would $\varphi_p$ actually look like? – Noah Schweber Jul 08 '21 at 16:18
  • @NoahSchweber I had a closely related question here : https://math.stackexchange.com/q/4831130/522332. Perhaps you could enlighten me? – Alphie Jan 06 '24 at 16:18