Lemma: For $A\subseteq X$ and $f\colon A\to Y$ we have $(X\cup_f Y)\times Z\cong (X\times Z)\cup_{f\times \text{Id}}(Y\times Z)$ for a locally compact Hausdorff space $Z$.
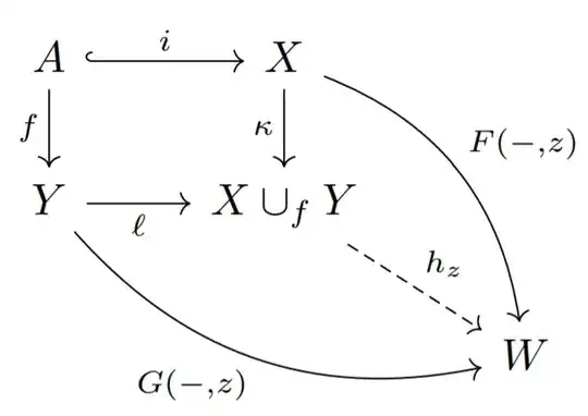
Proof: Consider the maps $i\colon A\hookrightarrow X$, $\kappa\colon X\to X\cup_f Y$, and $\ell\colon Y\to X\cup_f Y$. We need to show $(X\cup_f Y)\times Z$ is the pushout of the inner square below. That is given $G, F$ such that outer square is commutative we have to find $H$. 
But, for each $z\in Z$, we have the following diagram as $X\cup_f Y$ is a pushout.

Now define $H(p,z):=h_z(p)$ for $p\in X\cup_f Y$ and $z\in Z$. And to show $H$ is indeed continuous consider the quotient map $q\colon X\sqcup Y\to X\cup_f Y$. Since $Z$ is LCH $q\times \text{Id}_Z$ is also a quotient map, so we are done by the following diagram.

Now, we want to show $\ell\colon Y\to X\cup_f Y$ has HEP for any
$f\colon A\subseteq X\to Y$, provided $i\colon A\hookrightarrow X$ has HEP.
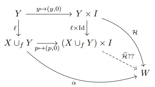
That is given $\alpha$ and $\mathcal H$ as in the diagram below such that outer square is commutative, we have to find $\widetilde {\mathcal H}$.

Note that $i\colon A\hookrightarrow X$ has HEP. So, we have the following:

Finally, $(X\cup_f Y)\times I$ is a pushout by the previous lemma. So, we have the diagram.

Check that this $\widetilde {\mathcal H}$ is what we need, i.e., show that it fits into the fourth diagram.
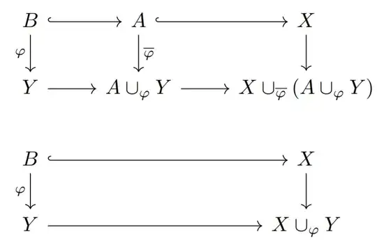
So, we have shown $(X\cup_f Y,Y)$ has HEP for any $f\colon A\subseteq X\to Y$, provided $A\hookrightarrow X$ has HEP. Now, to answer your question, note that the composition of two pushout squares is the pushout square. In other words, $ (Y\cup_\varphi A)\cup_\overline \varphi X\cong Y\cup_\varphi X $, i.e. $Y\cup_\varphi X$ is obtained as adujction space w.r.t. $\overline \varphi\colon A\to Y\cup_\varphi A$. So, $(X\cup_\varphi Y, A\cup_\varphi Y)$ has HEP.

Now, for $Z=[0,1]$ from the previous lines we have $(X\cup_f Y)\times I$ is pushout of $f\times \text{Id}_Z\colon A\times I\to Y\times I$. Now, use the fact $(X,A)$ has HEP to conclude your result. Let me know if you need a full explanation.
– Sumanta May 20 '21 at 09:31