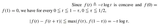
Can someone explain the inequality? What property of concave functions is this using?
Asked
Active
Viewed 38 times
-1
-
1Please do not use pictures for critical portions of your post. Pictures may not be legible, cannot be searched and are not view-able to some, such as those who use screen readers. – Martin R Apr 08 '21 at 09:27
-
I am the downvoter. The reasons are in Martin's comment. – Giuseppe Negro Apr 09 '21 at 05:14
1 Answers
2
Non-negative concave functions are subadditive, see for example Concave implies subadditive: $$ f(t+\tau) \le f(t) + f(\tau) \, . $$ For the estimate in the other direction use that $g(t) = f(1-t)$ is also concave: $$ f(t) = g(1-t) \le g(1-t-\tau) + g(\tau) = f(t+\tau) + f(1-\tau) \, . $$
Martin R
- 113,040