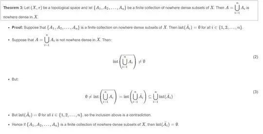
I think there is a mistake near the end. The union of interiors is a subset of the interior of unions and not the other way around. Is there still a way to do a proof by contradiction along similar lines even though this proof is incorrect.
-
1This answer is the only one among all the answers to this question going for a proof by contradiction. Not sure if that counts as "along similar lines", but I thought I'd mention it. – user3733558 Apr 08 '21 at 06:52
-
I think that there is a mistake as well, although I can't think of a quick way to fix it off the top of my head – memerson Apr 08 '21 at 06:52
1 Answers
You’re right about the error. The argument can, however, be completed along these general lines. Let
$$U_0=\operatorname{int}\operatorname{cl}\bigcup_{k=1}^nA_k=\operatorname{int}\bigcup_{k=1}^n\operatorname{cl}A_k\,,$$
and suppose that $U_0\ne\varnothing$. For $m=1,\ldots,n$ let $U_m=U_0\setminus\bigcup_{k=1}^m\operatorname{cl}A_k$. Then
$$\varnothing\ne U_0\supseteq U_1\supseteq\ldots\supseteq U_n=\varnothing\,,$$
so there is a smallest $m\le n$ such that $U_m=\varnothing$. Then $U_{m-1}$ is a non-empty open set, and
$$U_{m-1}\setminus\operatorname{cl}A_m=U_m=\varnothing\,,$$
so $U_{m-1}\subseteq\operatorname{cl}A_m$. But then $\operatorname{int}\operatorname{cl}A_m\supseteq U_m\ne\varnothing$, contradicting the assumption that $A_m$ is nowhere dense.
- 616,228
