2

Given $X\sim\text{Unif}(0,2\pi)$, find the probability density function of the derived RV $Y = \sin(X)$.

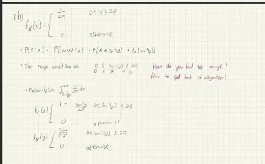
I attempted the equation as follows however I am confused how to get the range of the PDF as well as the integration limit.

My attempt is herehere

StubbornAtom
  • 17,052

1 Answers1

5

Solution 1. The range of $Y=\sin X$ with $X\in[0,2\pi]$ is $[-1,1]$ not $[0,0]$ because $\sin$ is not monotone. You can draw the graph of $\sin$ with $X\in[0,2\pi]$ to see the range.

For $y\in[0,1]$, $$Y=\sin X\leq y\iff 0\leq X\leq\arcsin y\quad\text{or}\quad\pi-\arcsin y\leq X\leq 2\pi.$$ Thus, \begin{align*} F_Y(y)&=P(Y\leq y)=P(0\leq X\leq\arcsin y)+P(\pi-\arcsin y\leq X\leq 2\pi) \\ &=\frac{\arcsin y}{2\pi}+\frac{\pi+\arcsin y}{2\pi}=\frac{1}{2}+\frac{\arcsin y}{\pi}. \end{align*} For $y\in[-1,0)$, $$Y=\sin X\leq y\iff\pi-\arcsin y\leq x\leq 2\pi+\arcsin y.$$ Thus. \begin{align*} F_Y(y)&=P(Y\leq y)=P(\pi-\arcsin y\leq x\leq 2\pi+\arcsin y) \\ &=\frac{\pi+2\arcsin y}{2\pi}=\frac{1}{2}+\frac{\arcsin y}{\pi}. \end{align*} Therefore, $$F_Y(y)=\begin{cases} 1, & y>1; \\ \displaystyle\frac{1}{2}+\frac{\arcsin y}{\pi}, & y\in[-1,1]; \\ 0, & y<-1. \end{cases}$$ Consequently, $$f_Y(y)=\begin{cases} 1/(\pi\sqrt{1-y^2}), & y\in[-1,1]; \\ 0, & \text{Otherwise}. \end{cases}$$


Solution 2. Of course we can use the transformation formula on r.v.'s to obtain the density of $Y$. Nonetheless, since $sin$ is not monotone, we have to use a generalized version of transformation formula. Here is Theorem 2.1.8 abstracted from Statistical Inference by George Casella:

Theorem 2.1.8. Let $X$ have pdf $f_X(x)$, let $Y=g(X)$, and define the sample space $\mathcal{X}=\{x\mid f_X(x)>0\}$. Suppose there exists a partition $A_0,A_1,\ldots,A_k$ of $\mathcal{X}$ such that $P(X\in A_0)=0$ and $f_X(x)$ is continuous on each $A_i$. Further, suppose there exist functions $g_1(x),\ldots,g_k(x)$, defined on $A_1,\ldots,A_k$, respectively, satisfying: i) $g(x)=g_i(x)$ for $x\in A_i$, ii) $g_i(x)$ is monotone on $A_i$, iii) The set $\mathcal{Y}=\{y\mid y=g_i(x)\ \text{for some}\ x\in A_i\}$ is the same for each $i=1,\ldots,k$, and iv) $g_i^{-1}(y)$ has a continuous derivative on $\mathcal{Y}$ for each $i=1,\ldots,k$. Then $$f_Y(y)=\begin{cases} \sum_{i=1}^{k}{f_X(g_i^{-1}(y))}\left|\frac{d}{dy}g_i^{-1}(y)\right|, & y\in\mathcal{Y}; \\ 0, & \text{Otherwise}. \end{cases}$$

Intuitively we would observe that the function $\sin X$ is monotone on $A_1=[0,\pi/2]$, $A_2=(\pi/2,3\pi/2]$, $A_3=(3\pi/2,2\pi]$. However, the condition iii) is violated as the ranges for $x\in A_i$ are not equal: $\sin(A_1)=[0,1]$, $\sin(A_2)=[-1,1]$ and $\sin(A_3)=[-1,0]$. To apply the theorem, we have to split $A_2$ into $A_{2,1}=[\pi/2,\pi]$ and $A_{2,3}=[\pi,3\pi/2]$ so that we can apply theorem to $\mathcal{Y}_1=[0,1]$ ($A_1$ and $A_{2,1}$) and $\mathcal{Y}_3=[-1,0]$ ($A_{2,3}$ and $A_3$) separately.

For $y\in[0,1]$, we have \begin{align*} g_1^{-1}(y)&=\arcsin y; \\ g_{2,1}^{-1}(y)&=\pi-\arcsin y. \end{align*} Thus, $$f_Y(y)=\frac{1}{2\pi}\cdot\frac{1}{\sqrt{1-y^2}}+\frac{1}{2\pi}\cdot\left|-\frac{1}{\sqrt{1-y^2}}\right|=\frac{1}{\pi\sqrt{1-y^2}}.$$

Likewise for $y\in[-1,0]$, \begin{align*} g_{2,3}^{-1}(y)&=\pi-\arcsin y; \\ g_3^{-1}(y)&=2\pi+\arcsin y. \end{align*} This entails $$f_Y(y)=\frac{1}{2\pi}\cdot\left|-\frac{1}{\sqrt{1-y^2}}\right|+\frac{1}{2\pi}\cdot\frac{1}{\sqrt{1-y^2}}=\frac{1}{\pi\sqrt{1-y^2}}.$$

Together, we have the same result as before.


The following picture illustrates how I obtained the inverse function:

enter image description here

Bernard Pan
  • 2,887
  • Is there a way to use the monotonicity of $\sin x$ on subintervals of a partition of $[-1,1]$? – Anon Apr 06 '21 at 16:40
  • 1
    @Kaind Of course yes. In George Cassella's Statistic Inference, Theorem 2.1.8 sketches the idea of such type of transformation. I will update my answer to include this approach. – Bernard Pan Apr 06 '21 at 16:44
  • how did u get π−arcsiny ≤ X ≤2 π. – Jeffrey Anders Apr 06 '21 at 16:53
  • @JeffreyAnders Please see the picture attached in my answer. – Bernard Pan Apr 06 '21 at 17:23
  • Im sorry but im still not getting the logic behind it.. – Jeffrey Anders Apr 06 '21 at 17:34
  • 1
    I take $y\in[0,1]$ for example. Imagine you draw a horizontal line with $y$-intercept $y$. It will naturally intersect the graph at two points, which are symmetric about $\pi/2$. In particular, by the definition of $\arcsin$, the $x$-coordinate of the left point is $\arcsin y$, so the $x$-coordinate of the right point is $\pi-\arcsin y$. By the graph, we can see that $Y=\sin X\leq y$ implies $0\leq X\leq\arcsin y$ and $\pi-\arcsin y\leq X\leq 2\pi$. The analysis is the same for $y\in[-1,0]$. – Bernard Pan Apr 06 '21 at 18:19
  • In your 2nd method, does the method require all the set $\mathcal{Y}$ the same? The condition (iii) seems so. Then$\mathcal{Y}1=[0,1]$ ($A_1$ and $A{2,1}$) and $\mathcal{Y}3=[-1,0]$ ($A{2,3}$ and $A_3$) are different. We have [-1,0] and [0,1]. They are not the same. – Jonathen Sep 10 '22 at 13:31
  • @Jonathen yes, the set $\cal Y$ should be the same. What I did above was considering two cases where the pdf has the same expression for each piece, so they are combined into one. – Bernard Pan Sep 11 '22 at 16:32