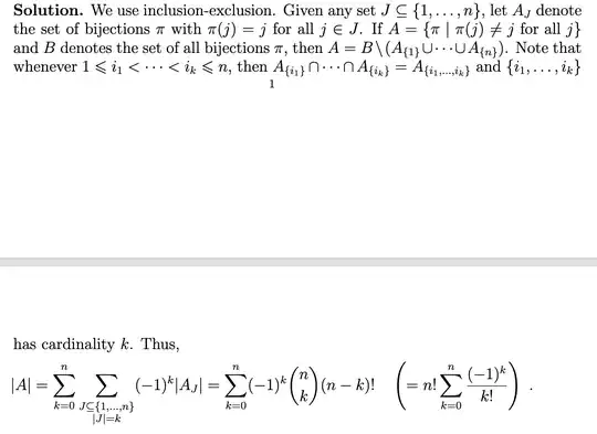
Let $n \in \mathbb{N} $. How many bijections $ \pi: \{1,2, \dots,n \} \to \{1,2, \dots,n \} $ are there such that $ \pi(j) \neq j $, for all $j \in \{1,2, \dots,n \} $?
My solution is quite simple:
$$ \pi(1)\in \{2, \dots,n \} \\ \pi(2)\in \{1, \dots,n \} \backslash \{\pi(1) \} \\ \dots \\ \pi(n)\in \{1,2, \dots,n-1 \} \backslash \{\pi(1), \dots, \pi(n-1) \} $$
So if $ \Pi = \{ \pi \} $, then $ | \Pi | = (n-1)! $
This doesn't add up with the answer though, and I don't know whats wrong with my approach. Whats wrong?
