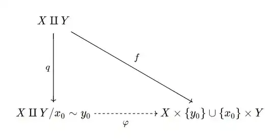
Let $(X,x_0),(Y,y_0)$ be two pointed topological spaces. Then $X\vee Y$ obtained by $X\amalg Y/x_0\sim y_0$ where $X\amalg Y$ denote the disjoint union of topological spaces and $X\times\{y_0\}\cup \{x_0\}\times Y\subset X\times Y$: subspace are homeomorphic.
My plan to prove this is first by using the universal property of $X\amalg Y$ to get a continuous map $f:X\amalg Y\to X\times\{y_0\}\cup \{x_0\}\times Y$ which is also quotient map so that the induced map from $X\vee Y\to X\times\{y_0\}\cup \{x_0\}\times Y$ is a homeomorphism.
I first defined $f_X(x) = (x,y_0)$ and $f_Y(y) = (x_0,y)$ and before checking this map is continuous, I tried to prove this map is open (which is slightly stronger than what we desired). If we take an open set $U\amalg V$ where $U\subset X$ and $V\subset Y$ are open sets, then $f(U\amalg V) = U\times\{y_0\}\cup \{x_0\}\times Y$. Since for $A\subset X,B\subset Y$, $(A\times B)\cap (X\times\{y_0\}\cup\{x_0\}\times Y) = (U\times (V\cap\{y_0\}))\cup((U\cap\{x_0\})\times V)$, to show the map $f$ is open, we need to show $U\times\{y_0\}$ is open in $X\times\{y_0\}\cup \{x_0\}\times Y$ which is not true in general. I hope this is a quotient map then but I can't see. Could you help? or any other idea?
