2

I am reading the ODE/ dynamical systems book by Hirsh, Devaney, and Smale, Differential Equations, Dynamical Systems, and an Introduction to Chaos (3e).

How do I go about finding the flow of a $4\times4$ matrix with eigenvalues with $4$ complex eigenvalues, all of which are purely imaginary?

For example, let's say the eigenvalues are: $i\sqrt{2},-i\sqrt{2},i\sqrt{3},-i\sqrt{3}$.

My guess would be a spiral? Is this correct? If so how I would I decide which way the spiral is "spiraling"?

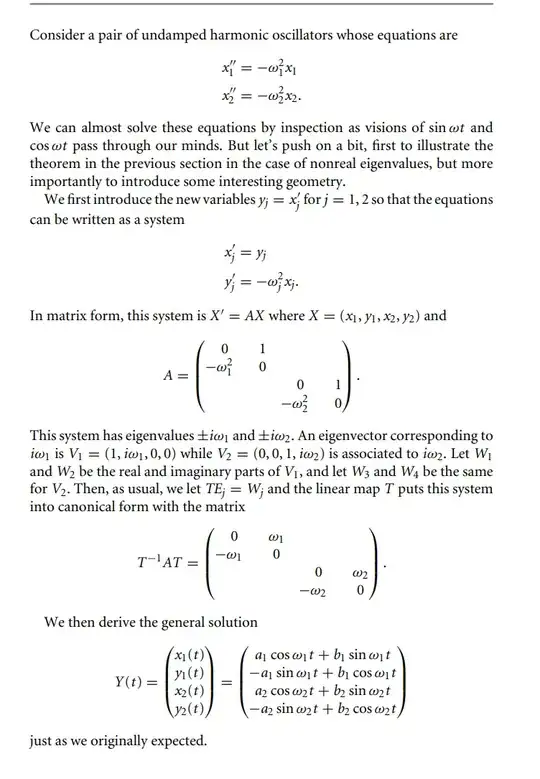
Edit: According to the book (pp.114-115):

enter image description here

This is pretty much the same thing so I have my solution. But how do I describe the "flow"? Is finding a solution enough?

Alp Uzman
  • 10,742
Jama
  • 541

2 Answers2

1

A flow is a function that given a time and a point in your phase space maps it forwards or backwards in time. So to convert that general solution to a flow you turn it into a function such that if I insert time and a starting value I get as output the value of the solution at that time for that starting value.

More formally, a flow corresponding to an ODE is a function $\phi : T \times M \rightarrow M$ with $T$ the time set and $M$ the phase space such that $\phi(t,x_0)$ is a solution of the ODE satisfying $\phi(0,x_0) =x_0$. (There is a more general definition of flows for example see here http://www.scholarpedia.org/article/Dynamical_systems#Flows, the one I give here follows from that definition if you assume you are dealing with an ODE)

1

For brevity let us focus on the example worked out in the book. One can switch from the general solution of an ODE to its flow is by determining the relationship between an anonymous initial condition and the constants $a_1,a_2,b_1,b_2$. More specifically, setting up $t=0$, if $a_1,a_2,b_1,b_2$ are the coefficients of the unique solution of the ODE with initial condition $Y_0=(y_0^1,y_0^2,y_0^3,y_0^4)\in\mathbb{R}^4$, then we have

$$ \begin{pmatrix} a_1 \\ a_2 \\ b_1 \\ b_2 \end{pmatrix}= Y(0) = Y_0 = \begin{pmatrix} y_0^1 \\ y_0^2 \\ y_0^3 \\ y_0^4 \end{pmatrix}.$$

Thus

\begin{align*} \Phi_t(Y_0) & = \begin{pmatrix} y_0^1\cos(\omega_1 t)+y_0^2 \sin(\omega_1 t) \\ -y_0^1\sin(\omega_1 t)+ y_0^2 \cos(\omega_1 t) \\ y_0^3\cos(\omega_2 t) + y_0^4\sin(\omega_2 t) \\ -y_0^3\sin(\omega_2 t) +y_0^4 \cos(\omega_2 t) \end{pmatrix}\\ &= \exp\left(\begin{pmatrix} 0 & \omega_1 & 0 & 0 \\ -\omega_1 & 0 & 0 & 0 \\ 0 & 0 & 0 & \omega_2 \\ 0 & 0 & -\omega_2 & 0 \end{pmatrix} \right) \begin{pmatrix} y_0^1 \\ y_0^2 \\ y_0^3 \\ y_0^4 \end{pmatrix}\\ &= \begin{pmatrix} \cos(\omega_1 t) & \sin(\omega_1 t) & 0 & 0 \\ -\sin(\omega_1 t) & \cos(\omega_1 t) & 0 & 0 \\ 0 & 0 & \cos(\omega_2 t) & \sin(\omega_2 t) \\ 0 & 0 & -\sin(\omega_2 t) & \cos(\omega_2 t) \end{pmatrix}\begin{pmatrix} y_0^1 \\ y_0^2 \\ y_0^3 \\ y_0^4 \end{pmatrix} \end{align*}

all give the flow $\Phi_\bullet:\mathbb{R}\to GL(4,\mathbb{R})$ of the ODE. In this case the system is completely non-hyperbolic (or elliptic), so the phase portrait considerations is subtle (as Hirsch-Smale-Devaney discuss in the book, the topological picture depends strongly on whether or not the ratio $\omega_2/\omega_1$ is a rational number. Further, each trajectory is trapped inside a $2$-torus inside $\mathbb{R}^4$.). Note that the directions of trajectories are based on the signs of $\omega_1$ and $\omega_2$. Since eigenvalues have no real part there will be no spirals.


It should be noted that if $X'=AX$ is a $4\times 4$ linear system with $A$ having purely imaginary eigenvalues, there are a few other cases that need to be considered separately. The example above is the simplest case, where we have four distinct purely complex eigenvalues. Say $i\lambda,\overline{i\lambda}=-i\lambda,i\mu,\overline{i\mu}=-i\mu$ for $\lambda,\mu\in\mathbb{R}$ are the eigenvalues of $A$. Then the full list is as follows:

  1. $\lambda\neq0, \mu\neq0, \lambda\neq\mu$,

  2. $\lambda\neq0, \mu\neq0, \lambda = \mu$,

  3. $\lambda\neq0, \mu=0$,

  4. $\lambda=0, \mu=0$.

The (real) normal forms in each case are like so:

  1. $ \begin{pmatrix} 0 & \lambda & 0 & 0 \\ -\lambda & 0 & 0 & 0 \\ 0 & 0 & 0 & \mu \\ 0 & 0 & -\mu & 0 \end{pmatrix} $

  2. $ \begin{pmatrix} 0 & \lambda & 0 & 0 \\ -\lambda & 0 & 0 & 0 \\ 0 & 0 & 0 & \lambda \\ 0 & 0 & -\lambda & 0 \end{pmatrix} , \begin{pmatrix} 0 & \lambda & 1 & 0 \\ -\lambda & 0 & 0 & 1 \\ 0 & 0 & 0 & \lambda \\ 0 & 0 & -\lambda & 0 \end{pmatrix}$

  3. $ \begin{pmatrix} 0 & \lambda & 0 & 0 \\ -\lambda & 0 & 0 & 0 \\ 0 & 0 & 0 & 0 \\ 0 & 0 & 0 & 0 \end{pmatrix},\begin{pmatrix} 0 & \lambda & 0 & 0 \\ -\lambda & 0 & 0 & 0 \\ 0 & 0 & 0 & 1 \\ 0 & 0 & 0 & 0 \end{pmatrix} $

  4. $ \begin{pmatrix} 0 & 0 & 0 & 0 \\ 0 & 0 & 0 & 0 \\ 0 & 0 & 0 & 0 \\ 0 & 0 & 0 & 0 \end{pmatrix},\begin{pmatrix} 0 & 1 & 0 & 0 \\ 0 & 0 & 0 & 0 \\ 0 & 0 & 0 & 0 \\ 0 & 0 & 0 & 0 \end{pmatrix} , \begin{pmatrix} 0 & 1 & 0 & 0 \\ 0 & 0 & 0 & 0 \\ 0 & 0 & 0 & 1 \\ 0 & 0 & 0 & 0 \end{pmatrix} ,\begin{pmatrix} 0 & 1 & 0 & 0 \\ 0 & 0 & 1 & 0 \\ 0 & 0 & 0 & 0 \\ 0 & 0 & 0 & 0 \end{pmatrix} ,\begin{pmatrix} 0 & 1 & 0 & 0 \\ 0 & 0 & 1 & 0 \\ 0 & 0 & 0 & 1 \\ 0 & 0 & 0 & 0 \end{pmatrix} $.

One can exponentiate these matrices using the standard procedure. Note that these would provide different phase portraits. See Arnold's Ordinary Differential Equations for further details.

Alp Uzman
  • 10,742