1

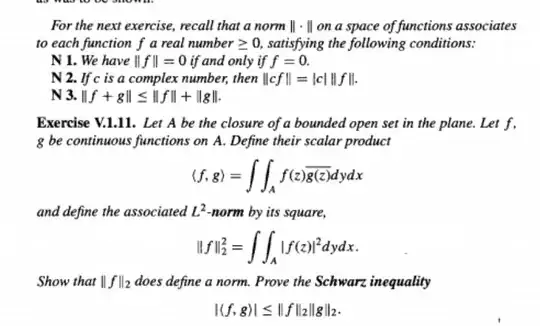
I have been following Serge Leng's Introduction to Complex Analysis at a graduate level and I feel a bit stuck on one of the exercises. The exercise in question is

enter image description here

I can't seem to prove N3 without assuming the Schwarz inequality. On the other hand, I am able to prove the Schwarz inequality but I would have to assume N3.

There have been published solutions for these questions:

enter image description here

however, this is not the slitest bit intuitive (atleast to me). Can anybody help me/explain to me an intuitive way of looking at the problem?

  • See here: https://math.stackexchange.com/questions/436559/a-natural-proof-of-the-cauchy-schwarz-inequality/436642#43664 My own favorite way to look at it is here: https://math.stackexchange.com/a/436672/40119 – littleO Jan 19 '21 at 06:09
  • I agree. It is easiest to prove Schwarz first, then N3 using it. – GEdgar Jan 19 '21 at 14:00

1 Answers1

1

The intuition behind the Schwarz inequality is perhaps easily seen for an inner product over a real vector space; for any vectors $u, v$, \begin{align} \langle u \pm v, u \pm v\rangle \geqslant 0. \end{align} Now take $u, v$ to have unit length and expand the product to obtain, \begin{align} 2 \geqslant \pm 2 \langle u, v \rangle \end{align} so that $\lvert \langle u,v \rangle \rvert \leqslant 1$. This is extended to general vectors $u$ and $v$ by dividing each by its norm and using the bi-linearity of the inner product.

The argument is also extended to a complex linear space by taking again unit vectors $u$ and $v$ but now multiply $u$ by $e^{i\theta}$ where $\theta$ is chosen to make $\langle u,v \rangle$ real and positive. This is always possible.

Then \begin{align} \langle e^{i\theta}u - v, e^{i\theta} u - v \rangle &= \langle e^{i\theta} u, e^{i \theta}u\rangle - e^{i\theta} \langle u, v\rangle - e^{-i\theta}\langle v,u\rangle +\langle v,v \rangle \\ &=\langle u,u \rangle - 2 \Re \big( e^{i\theta}\langle u,v \rangle\big) + \langle v,v \rangle \end{align} Now the choice of $\theta$ comes into play. We have made $e^{i\theta}\langle u,v\rangle$ real and positive, so as before we now obtain \begin{align} \Re \big( e^{i\theta} \langle u,v \rangle \big) &= e^{i\theta} \langle u,v \rangle \\ &= \lvert e^{i\theta} \langle u,v \rangle \rvert \\ &= \lvert \langle u,v \rangle \rvert \end{align} leading neatly to $\lvert \langle u,v \rangle \rvert \leqslant 1$. This is extended to general $u$ and $v$ as before.

WA Don
  • 4,488