8

Ok so on doing a whole lot of Geometry Problems, since I am weak at Trigonometry, I am now focused on $2$ main questions :-

$1)$ How to calculate the $\sin,\cos,\tan$ of any angle?

Some Information :- This site :- https://www.intmath.com/blog/mathematics/how-do-you-find-exact-values-for-the-sine-of-all-angles-6212 , produces a clear understanding and a detailed approach of finding the $\sin$ of any angle from $1$ to $90^\circ$ , and I found it very interesting. But now the Questions arise :-

Can you find the $\sin$, $\cos$ or $\tan$ of any fraction angles, like $39.67$?
Can you find the $\sin$, $\cos$ or $\tan$ of recurring fractions like $\frac{47}{9}$?
Can you find the $\sin$, $\cos$ or $\tan$ of irrationals, like $\sqrt{2}?$

Since I am a bit new to Trigonometry, I will be asking if there is a formula to find the $\sin$ of fractions, or even recurring fractions. I can use the calculator to find them obviously, but I have another Question :-

$2)$ How to calculate the trigonometric ratios of every angle in fractional form?

We all know $\sin 45^\circ = \frac{1}{\sqrt{2}}$ , but what will be $\sin 46^\circ$ in fractions? I can use a calculator to calculate the decimal of it, but it is hard to deduce the fraction out of the value, especially because the decimal will be irrational. I know how to convert recurring decimals to fractions, but this is not the case. Right now I am focused on a particular problem, which asks me to find the $\sin$ of a recurring fraction, in a fraction form. I am struggling to do this unless I clear up the ideas.

Edit: My problem is to find the $\sin$ of $\frac{143}{3}^\circ$ . I do not have any specific formula to find this, and I am mainly stuck here. I need a formula which shows how this can be done.

Can anyone help me? Thank You.

Anonymous
  • 4,223
  • 1
    Given that we have to compute the sine of some angles by the formula for $\sin(nx)$ which is an n-th degree polynomial in $\sin(x)$ (and $\cos(x)$), and that polynomials of degree 5 and above are in general not solvable by radicals (i.e. there exists polynomials of degree 5 or above which is not solvable by radicals), there is almost certainly some fractional angle whose sine couldn't be expressed in fractions and radicals. – Divide1918 Dec 14 '20 at 15:17
  • Ok, but I have a recurring fraction whose $\sin$ I have to calculate, in fractional form. How can I do it? (Note that in fractional form irrational numbers like $\frac{1}{\sqrt{2}}$ are allowed) . – Anonymous Dec 14 '20 at 15:18
  • 1
    I think you should post the specific question you're dealing with. If it's part of another question, also post that, and include your attempts which led up to the recurring fraction. Would be even better if you write down your thoughts as to how to tackle the sine of the recurring fraction. – Divide1918 Dec 14 '20 at 15:21
  • "Right now I am focused on a particular problem, which asks me to find the sin of a recurring fraction, in a fraction form." You'd be well advised to ask about that particular problem, instead of what you made of it, above. –  Dec 14 '20 at 15:21
  • 2
    There are two different issues here: (a) Notion of real number. Exact and approximate expressions for real numbers. (b) Values of the trigonometric functions. How does the "tablemaker" or the computer find them? – Christian Blatter Dec 14 '20 at 15:25
  • 1
    Although, one may compute $\sin(1^\circ)$ in radical form by the triple angle formula and the radical form of $\sin(3^\circ)$, which may be found from $\sin(75^\circ-72^\circ)$. The trigonometric values in the expansion of the last expression (by sine of difference of angles) may be found geometrically. By invoking sum/difference of angles formula, this means we can express the sine (and therefore cos and tan as well) of every integer angle in radical form. – Divide1918 Dec 14 '20 at 15:30
  • Of course, the computations would be extremely messy, and you would have to solve cubic equations, which in general is no easy task – Divide1918 Dec 14 '20 at 15:31
  • I have included my problem in my edit. – Anonymous Dec 14 '20 at 15:35
  • Perhaps the formula from Here may help: it says that sin(na)=2sin((n-1)a)cos(a)-sin((n-2)a). The cosine formula is simply substituting $\frac π2-na$ for na in the sine identity. The ratios of these can be used for the other identities. Also check out this sitelink. Sorry for not deriving these formulas, but they are in the links. – Тyma Gaidash Apr 03 '21 at 14:05
  • i could swear there was an episode of veronica mars like this where vmars was asked to answer on the board something like cos(37 degrees), and then she starts writing 0.79863551004. lol. anyway, i guess this question is kinda 'dumb', but it's surely a dumb question many of us, including myself, have thought of when we took trig. – BCLC Apr 07 '21 at 14:24

3 Answers3

4

This will be my attempt at answering your question about finding $\sin(\frac{143°}{3})=\sin(\frac x3)$.

Let θ=$\frac x3$ and using this website

$\sin(3θ)=3\sinθ-4\sin^3θ$ Therefore, we need to solve this equation for sin(θ):

$4\sin^3θ-3\sinθ+ \sin(3θ)=0⇔ \sin^3θ -\frac 34 \sinθ+ \frac 14 \sin(3θ)=0$

Using Cardano’s Depressed Cubic Formula gets us the first root of the cubic equation gets us:

$\sqrt[3]{ \frac {-q}{2}+\sqrt{\frac{q^2}{4}+\frac{p^3}{27}}}$+ $\sqrt[3]{ \frac {-q}{2}-\sqrt{\frac{q^2}{4}+\frac{p^3}{27}}}$ where q=$\frac 14 \sin(3θ)$= $\frac 14 \sin(x)$= $\frac 14 \sin(143°)$= $\frac 14 \sin(37°)$ which is the constant value of the equation and p=-$\frac 34$ which is the coefficient of the linear value of degree one in the equation above.

Plug these into the formula and simplify to get an answer. We will use the fact that $\sin143°=\sin37°$:

$\sqrt[3]{ \frac {-(1/4)\sin37°}{2}+\sqrt{\frac{((1/4)\sin37°)^2}{4}+\frac{(-3/4)^3}{27}}}$+ $\sqrt[3]{ \frac {-1/4)\sin37°}{2}-\sqrt{\frac{((1/4)\sin37°)^2}{4}+\frac{(-3/4)^3}{27}}}$=

$\sqrt[3]{ \frac {-\sin37°}{8}+\frac 18 \sqrt{\sin^2 37°-1}}$+$\sqrt[3]{ \frac {-\sin37°}{8}-\frac 18 \sqrt{\sin^2 37°-1}}$=$\frac 12 (\sqrt[3]{i\cos37°- \sin37°}-\sqrt[3]{\sin37°+i\cos37°})$.

Unfortunately, $\sin37°=\cos53°$ and $\cos37°=\sin53°$ do not have easily solvable forms, but this website has the exact values for sine. However, $\sin37°=\sin143°=\sin\frac{37π}{180}$ so here are the steps for finding this value:

1.Use the same technique but sin(5θ)=sinx,x=π. Then, $θ=\frac {x}{5}$ and using the multiple angle formulas for sin in the above website to get sinπ=0=$5y-20y^3-16y^6$,and solve for $y=\sinθ=\sin\frac π5$

2.Use the cubic technique on $sin\frac π5$ to get $\sin\frac{π}{15}$

3.Use the half angle formula twice to get $\sin\frac{π}{60}$

4.Use the cubic technique again on $sin\frac π{60}$ to get $\sin\frac{π}{180}$

5.Finally use the multiple angle formula for $\sin(37a)=\sin\frac{37π}{180}$

6.Evaluate $\sqrt{1-\sin^2\frac{37π}{180}}$= $\cos\frac{37π}{180}$

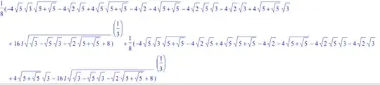
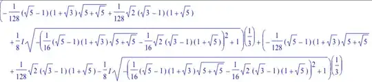
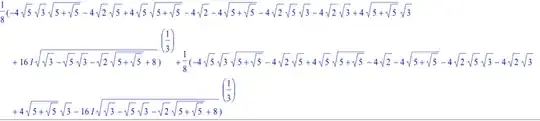
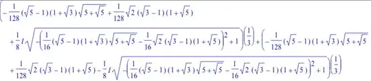
This means the final answer is: $\sin\frac{143°}{3}$= $\frac 12 \bigg(\sqrt[3]{\bigg[}\bigg($[$\bigg)i-\bigg($ enter image description here$\bigg)-\sqrt[3]{\bigg[}$enter image description here$+\bigg($enter image description here$\bigg)i\bigg]\bigg)$

Here is proof of my answer. Please correct me if I am wrong or give me feedback!

Тyma Gaidash
  • 12,081
2

For any value angle I would turn it into radians in order to use the power series of sine.

$sin(x)=\sum_{k=0}^{\infty}{(-1)^k\frac{x^{2k+1}}{(2k+1)!}}$, $x\epsilon\mathbb R$

$\theta=\frac{143^o}{3}\Rightarrow x=\frac{\pi}{180}\cdot \theta$

The result will always be a rational number that is an approximation of a transcendental number since both x and sin(x) are transcendental numbers related to $\pi$.

WindSoul
  • 2,160
  • WindSoul, do you disagree with G Cab? – BCLC Apr 07 '21 at 15:36
  • 1
    The answer you’re asking me wether I disagree with or not is an answer equivalent to mine, however while mine is a short and direct answer, G Cab provides a dissertation on the topic. To avoid the double negation, I will say this: I agree with G Cab. – WindSoul Apr 08 '21 at 16:06
2

I do not catch exactly what is your problem, so I am proposing some considerations which might be useful, at least to substantiate what you need.

a) The sine of an angle will be rational when the angle corresponds to that of an integral triangle (i.e. a Pythagorean triple).
Among the angles which are rational multiples of $\pi$, only $0, \pi /6 , \pi /2 (+ k \pi)$ provide a rational value of the sine.
see this reference.
And if the angle is a rational multiple of $\pi$ it is as well a rational multiple of $180^{\circ}$ and thus a rational value in degrees.

Therefore the sines you are looking for are irrational.

b) The methods for finding a rational approximation of a (irrational) $\sin x$ are various, and are the subject of the hard work of many scholars of the past, when the trigonometric tables were much of need and the computer was far to come.
An example is the Bhaskara sine approximation. $$ \sin x^ \circ \approx {{4x\left( {180 - x} \right)} \over {40500 - x\left( {180 - x} \right)}} $$ which for one of the angles you cite as example will give $$ \eqalign{ & x = \left( {{{143} \over 3}} \right)^{\, \circ } = \left( {{{143} \over {540}}} \right)\pi \;rad\quad \Rightarrow \cr & \Rightarrow \quad \sin x \approx {{227084} \over {307729}} \to err = 0.17\,\% \cr} $$

And when the computer arrived, also there has been much work to find suitable algorithms to express the trig functions which are summarized in this Wikipedia article .
There it is stated that the sine of rational multiples of $\pi$ are in fact algebraic numbers (generally of degree $2$ and higher).

A recent paper illustrates a rational approximation for the $\tan$ and for $\sin , \cos$ functions.

c) However most of the algorithms developed for being implemented on computers relies on the angle expressed in radians, and therefore they will provide a rational approximation of the sine when the angle is expressed as a rational multiple of a radian.
The problem that you pose concerns instead the sine of an angle expressed as a fraction of degrees, which is irrational in radians.
Aside from the Bhaskara's formula above, with the other available methods you cannot avoid to introduce a rational approximation for $\pi$, which is going to fix the threshold on the precision that can be achieved.

To this end we would better fix some lower/upper couple of bounds on $\pi$ such as $$ \left( {{{25} \over 8},{{22} \over 7}} \right),\left( {{{91} \over {29}},{{22} \over 7}} \right), \cdots ,\left( {{{688} \over {219}},{{355} \over {113}}} \right), \cdots , \left( {{{9918} \over {3157}},{{355} \over {113}}} \right), \cdots $$ obtainable by a Stern-Brocot approximation.

Then if you are using the Taylor series, for instance, you have $$ x - {1 \over 6}x^{\,3} < \sin x < x - {1 \over 6}x^{\,3} + {1 \over {120}}x^{\,5} $$ so that for the angle already considered $$ x = \left( {{{143} \over 3}} \right)^{\, \circ } = \left( {{{143} \over {540}}} \right)\pi \;rad $$ and using for $\pi$ the second couple of values above, you get $$ \left( {{{143} \over {540}}{{91} \over {29}}} \right) - {1 \over 6}\left( {{{143} \over {540}}{{91} \over {29}}} \right)^{\,3} < \sin x < \left( {{{143} \over {540}}{{22} \over 7}} \right) - {1 \over 6}\left( {{{143} \over {540}}{{22} \over 7}} \right)^{\,3} + {1 \over {120}}\left( {{{143} \over {540}}{{22} \over 7}} \right)^{\,5} $$ i.e. $$ {{16943907583603} \over {23042336976000}} < \sin x < {{2140128005530465093} \over {2893944959388000000}} $$ which put into decimal is $$ 0.735338 \ldots < 0.739239 \ldots < 0.7395132 \ldots $$ corresponding to a relative error of $$ - \,0.5\,\% \,,\; + 0.04\,\% $$

Of course , depending on the accuracy required, it is possible to increase the precision on $\pi$, increase the degree of the series, or also to change to Padè approximants or other techniques.

G Cab
  • 35,272
  • G Cab, do you disagree with WindSoul? – BCLC Apr 07 '21 at 15:36
  • @BCLC: of course, when you compute the series on a CAS, (but then it's all the same to compute the sine directly) you'll end up with some decimal number truncated in digits, which is by definition a rational number. But as far as I understood the posted question, its goal is to avoid to express the angle in radians (thus involving $\pi$ into the calculations) – G Cab Apr 07 '21 at 16:20