We define the Fibonacci sequence via $f_1 = f_2 = 1$, and if $n > 2$, then $f_n = f_{nā1} + f_{nā2}$. Show that $4\mid f_n$ if and only if $6\mid n$.
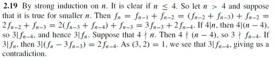
I have been trying to make a copy of the following solution for the exercise "$ 3 \mid f_n $ iff $ 4 \mid n $".
But so far I have not found anything satisfactory. In this question $f_n$ is divisible by $4$ if and only if $n$ is divisible by $6$ they answer it by redefining the fibonacci sequence, but I wonder if it can be done as I am trying. By the way, what they do here $f_n$ is divisible by $4$ if and only if $n$ is divisible by $6$ I don't understand very well.
