I have a question:
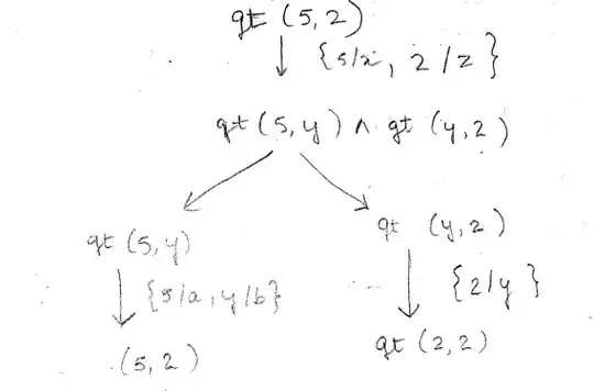
Solve the following by deduction using backward reasoning to prove gt(5,2). I found from wikipedia that backward reasoning is same as backward chaining. Book says that backward chaining is same as goal dependent search. Suppose we are given the following facts:
Somebody please guide me. Sorry I don't have any idea. Should I try by doing the replacements provided at the end of each level of the tree? If somebody can help me I really appreciate.
I got one solution from my friend. Kindly check it and explain if possibe.

Linked concepts and Questions: By goal driven search it means that we have to start at the current state. How is it different from resolution proof?