I'm trying to teach myself linear algebra on a deeper level than the formulae I memorized when I first learnt it, and found, in addition to the 3blue1brown video series, this more-algebraic explanation of matrix multiplication here, based on Cayley's original paper. I feel stupid, but while the answer seems extremely useful, I just can't make it click. Can someone help?
The appeal of the answer, from "Brad", is that it shows how matrix multiplication relates to the composition of functions. My algebra is a little rusty, but I think that I get this idea conceptually -- it's like f(g(x)), right? Brad seems like he's showing us, following Cayley, how to use the simplest notation and a commonsense understanding of multiplication to show how the matrix procedure is what we really want. I get this conceptually, too.
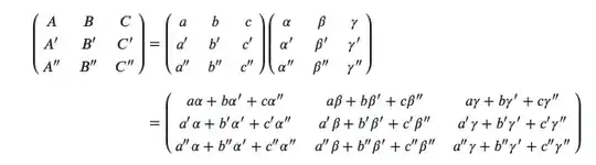
I'm getting lost on the last step in the explanation; can someone help? (Not sure if this is allowed, but I would be happy to pay for an hour of tutoring to have someone walk me through it). What I don't get is this: the answer says, at first, that we can understand the idea of "multiplying" two matrices A and B, where A is, say, a 3x3 matrix and B a 1x3 vector, without worrying about the fact that this will be undefined according to our real matrix rules, as simply meaning "take each element of each row of A and pair it with the elements in B". I know that this isn't allowed by the rules of multiplication, but the answer seems to be suggesting that it is OK, provisionally, to represent the combination of A and B this way, as in this step:
The step where I get lost is the last step (screenshotting because I don't know if copying and pasting would work)
.
So, the idea is that the vector (x, y, z) by which we multiply the matrix of lowercase-Roman letters is really itself a matrix of lowercase-Greek letters. This would make "x" really equal to
, "y" really equal to
, and so on, right? Then, it would seem to me that you should multiply a by
, for example, but that's clearly not right.
Can someone help me out with this? I apologize for the dumb question. Linear algebra has always felt like a particularly sore subject among math educators in that no-one seems to be able to show how to get to the fancy stuff from basic intuition (whereas I feel like many calc., geometry, and stats. teachers can do this without much trouble). This answer feels so close, but I'm still not getting it. (X, Y, Z) was originally used to represent three horizontal "equations": X = (ax + by + cz), Y = (a'x + b'y + c'z) and so on. But if the row "lower-case alpha, beta, and gamma" (times their capital-letter counterparts, which is temporarily left out here, AFAICT) is what x "really is", then isn't X = (a[alpha, beta, gamma] + b(alpha', beta' gamma') + c(alpha'', beta'', gamma''))? I still don't understand the reason we tilt the first matrix.
Edit: one thing that I think might answer my question is to know whether we are suddenly using the letters x, y, and z to refer to columns rather than rows of a matrix. For example, I "get" this explanation here for why, in this situation, we flip matrix A's rows on their sides and multiply them by the columns of B. But this seems to depend on how we wrote matrix B, with the percent change of social group j to social group k being the columns and the rows being social groups themselves. But matrix multiplication would seem to be the wrong procedure here if someone, say, found some data (as they very well might) which had these same rows and columns, only flipped (unless it happens to be the case that a AB = AB^t, but that's not true, is it?). Is there some rule about how matrices are written down that makes it so that we can just generically say [A]*[B] just works this way in general?
