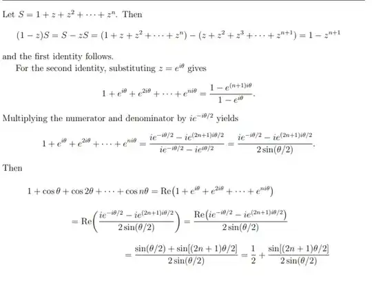
This is homework but I’m really stuck. The question is to prove a fromula which states:
$$1+\cos\theta+\cos2\theta+...+\cos n\theta=\frac{1}{2}+\frac{\sin(n+\frac{1}{2})\theta}{2\sin\frac{\theta}{2}}$$
I want to solve it using complex numbers
So I came to this
(I missed Re in last one)
Can you guys please help me finish this ?
