Prove by mathematical induction that:
1. for all n ≥ 3 equality $$\binom{3}{3}+\binom{4}{3}+ · · · +\binom{n} {3}=\binom{n+1} {4};$$
2. for all n ≥ 1 equality $$\binom{2}{2}+\binom{3}{2}+ · · · +\binom{n+1} {2}=\binom{n+2} {3}$$
So for the two exercises, I have to apply the binomial coefficient of $$\binom{n}{m}= \frac{n!} {m!(n−m)!} =\frac{(n-1)...(n−m+1)}{m!}$$
This the solution for the first exercise before dividing both sides to (k + 1)k(k− 1)/4!.
And my question is why when I solved the first exercise my answer was:
$$\frac{(k+1)k(k+2)} {4!} + \frac{(k+1)k(k-1)} {3!} = \frac{k+2(k+1)(k-1)} {4!}$$
What is the step I'm missing ?

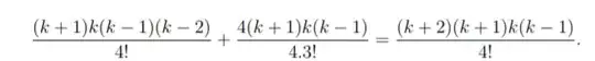
So for the first problem assume it holds for $n=k$ then for the inductive step $$\binom{3}{3}+\binom{4}{3}+ · · · +\binom{k} {3}+\binom{k+1}{3}=\binom{k+1} {4}+\binom{k+1}{3}$$ $$=\frac{(k+1)!}{4!(k-3)!}+\frac{(k+1)!}{3!(k-2)!}$$ $$=\frac{(k+1)k(k-1)(k-2)}{4!}+\frac{(k+1)k(k-1)}{3!}$$ $$=\frac{(k+1)k(k-1)(k-2)+4(k+1)k(k-1)}{4!}$$ $$=\frac{(k+1)k(k-1)[(k-2)+4]}{4!}=\frac{(k+2)(k+1)k(k-1)}{4!}$$ $$=\frac{(k+2)!}{4!(k-2)!}=\binom{k+2}{4}$$
– Alessio K Sep 22 '20 at 18:09