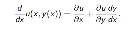
For the part $\frac{\partial u}{\partial x}$, do we do $\frac{\partial u(x,y)}{\partial x}$ first, then evaluate at the point $(x,y)=(x,y(x))?$
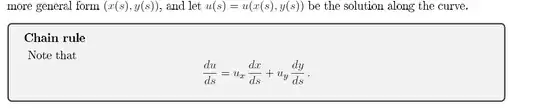
For the part $u_{x}$, do we do $\frac{\partial u(x,y)}{\partial x}$ first, then evaluate at the point $(x,y)=(x(s),y(s))?$
I was bit confused with different notations. If we are given derivative notation without specify the order of evalution, is there any general rules to follow?

