0

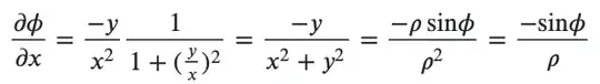
Given that =tan/ by Cylindrical Coordinates, I have that enter image description here ... But how do you go from that to din?

In particular, why does the sec just disappear? Please assist. Thank you.

Reference Post: Del operator in Cylindrical coordinates (problem in partial differentiation)

0 Answers0