I've received an assignment to solve the following determinant for the matrix:
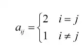
A is an nxn matrix defined as follows:
Show that the determinant of A is equal to n+1.
I've tried solving it and got stuck, so I checked the solution:
I'm just puzzled, how did the transition from the first determinant to the second happen? I thought maybe they added all the rows to the first one, but it doesn't make sense to me because they received the same result in every variable.
Help would be much appreciated!

