1

In the book Zorich, Mathematical analysis II, pag. 76,77 one can read the proof of the fact that a differentiable function $f:U\to Y$ of an open subset of a normed space $X$ into a normed space $Y$ is continuously differentiable in each point of $U$ iff all partial derivatives are continuous in $U$:

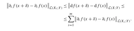
In short, the proof is this:

enter image description here

Even if the book does not state it in a specific manner, it seems to me that the proof is valid pointwise, in this sense:

a differentiable function $f:U\to Y$ of an open subset of a normed space $X$ into a normed space $Y$ has a continuous derivative in $x\in U \iff$ all partial derivatives are continuous in $x\in U$.

Right?

Arctic Char
  • 16,007

1 Answers1

2

I think some clarification is in order:

Suppose $f:X\rightarrow X$, $X$ and $Y$ Banach spaces.

  • $f$ is Fréchet differentiable at $x$ if there is $A_x\in L(X,Y)$ such that $$f(\mathbf{x + v})=f(\mathbf{x})+A_x\mathbf{v} +r_x(\mathbf{v})$$ such that $\lim_{\|v\|\rightarrow0}\frac{\|r_x(\mathbf{v}\|}{\|\mathbf{v}\|}=0$. $A_x$ is denoted as $f'(x)$

  • $f$ is Gateaux differentiable at $x$ if there is $L_x\in L(X,Y)$ such that $$ L_x\,\mathbf{v}:=\lim_{t\rightarrow0}\frac{f(\mathbf{x}+t\mathbf{v})-f(\mathbf{x})}{t} $$ for all $\mathbf{v}$. (the implication is that the limit exists of course)


Theorem: Fréchet differentiability implies existence of all directional derivatives (Gateaux derivative), and $$ L_x\mathbf{v}=f'(\mathbf{x})\mathbf{v} $$

Conversely if $f$ Gateaux differentiable in a neighborhood of $\mathbf{x}$, and the Gateaux derivative $y\mapsto L_\mathbf{y}$ is continuous (as a map from $X$ to $L(X,Y)$), then $f$ is Fréchet differentiable and $f'(x)=L_x$.


The proof in one direction can be obtained by a simple application of the chain rule to $t\mapsto f(\mathbf{x}+t\mathbf{u})$

The converse is a little more nuaced:

Let $r>0$ such that $B(\mathbf{x};r)\subset\overline{B}(\mathbf{x};r)\subset V$. Then $\mathbf{x}+t\mathbf{h}\in V$ for all $\mathbf{h}\in B(\boldsymbol{0};r)$ and $|t|\leq1$. Fix $\mathbf{v}\in B(\boldsymbol{0};r)$, and for any $e\in Y^*$ with $\|e\|_{Y^*}=1$ define $f_e(t):=e \big(F(\mathbf{x}+t\mathbf{v})\big)$. Then $f_e$ is differentiable on $[0,1]$ and $f_e(t)=e\big( L_{\mathbf{x}+t\mathbf{v}}\mathbf{v}\big)$. Moreover, $f'_e$ is continuous over $[0,1]$ and thus integrable. By the fundamental theorem of Calculus, $$ f_e(1)-f_e(0)=\int_{(0,1]}f'_e(t)\,dt. $$ It follows that $$ \begin{align} \Big|e\big(&F(\mathbf{x}+\mathbf{v})-F(\mathbf{x})- L_{\mathbf{x}}\mathbf{v}\big)\Big|= \Big|\int_{(0,1]}e\big((L_{\mathbf{x}+t\mathbf{v}} - L_{\mathbf{x}})\mathbf{v}\big)\,dt\Big|\tag{1}\label{one}\\ &\leq \|\mathbf{v}\|\int_{(0,1]}\|L_{\mathbf{x}+t\mathbf{v}}-L_{\mathbf{x}} \|\,dt. \end{align} $$ Taking suprema over all $e\in Y^*$ with $\|e\|_{Y^*}=1$ gives $$ \|F(\mathbf{x}+\mathbf{v})-F(\mathbf{x})-L_{\mathbf{x}}\mathbf{v}\|\leq \|\mathbf{v}\|\int_{(0,1]}\|L_{\mathbf{x}+t\mathbf{v}}-L_{\mathbf{x}} \|\,dt. $$ The continuity of $y\mapsto L_y$ at $\mathbf{x}$ implies that $$ \begin{align} F(\mathbf{x}+\mathbf{v})-F(\mathbf{x})-L_{\mathbf{x}}\mathbf{v}&=r(\mathbf{v}). \end{align} $$ where $\lim_{\|v\|\rightarrow0}\frac{\|r(\mathbf{v})\|}{\|\mathbf{v}\|}=0$

The nuanced part is in (1), the change in order between integral and linear functional. To justify this, one may appeal to properties of the Bochner integral or of the Pettis integral (Rudin's chapter 3).


Kolmogorov-Fomin's book has a readable treatment of this. Lang's book on real and functional analysis also has a treatment of this subject.

Mittens
  • 39,145
  • So, if I have understood, my claim:

    a differentiable function :→ of an open subset of a normed space into a normed space has a continuous derivative in ∈⟺ all partial derivatives are continuous in ∈

    is false. Is it?

    – Nameless Jul 04 '20 at 15:02
  • the claim is correct, the proof presented only works for finite dimensional spaces though. – Mittens Jul 04 '20 at 15:04