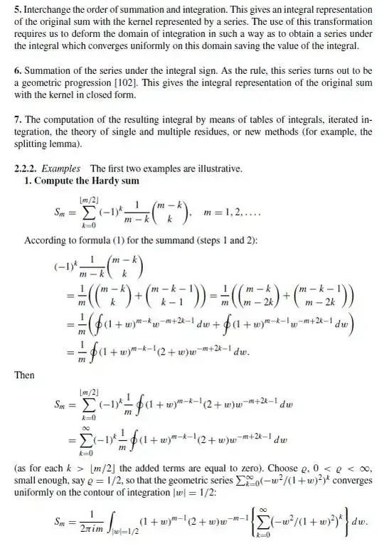
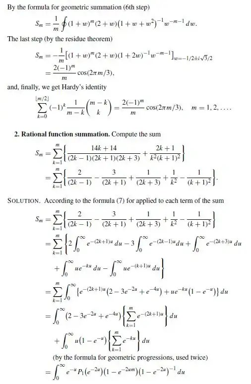
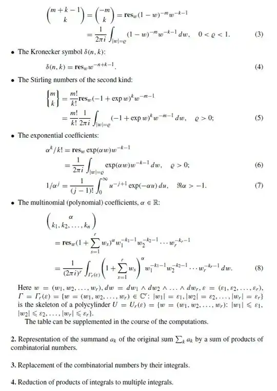
Let's take a look at the following integrals :
1) $\displaystyle \int\limits_{0}^{1} \frac{\log{x}}{1+x} \ dx = -\frac{\pi^{2}}{12} = -\frac 1 2 \sum\limits_{n=1}^{\infty} \frac{1}{n^2}= -\frac 1 2 \zeta(2)$
2) For $c<1$ $\displaystyle \int\limits_{0}^{\frac{\pi}{2}} \arcsin(c \cos{x}) \ dx = \frac{c}{1^2} + \frac{c}{3^2} + \frac{c}{5^2} + \cdots $
3) Summing the series $(-1)^k \frac{(2k)!!}{(2k+1)!!} a^{2k+1}$
I have seen integral representations of series and sums employed in ingenious way ways to to compute closed-forms and deduce other interesting properties (e.g. asympotics, recurrences, combinatorial interpretations, etc). Are there any general algorithms or theories behind such methods of integral representations?
