Question link : Proving Binomial Identity without calculus
i have one doubt in the given answer below ,my doubts mark in red colour

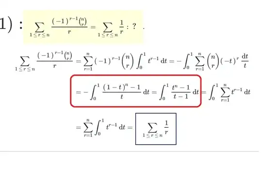
My doubt is that $$ \text{why} -\int_{0}^{1}{({1 - t})^{n} - 1 \over t}d t = \int_{0}^{1}{t^{n} - 1 \over t - 1}d t ?$$
My attempt : Take $n= 2$ then ${({1 - t})^{n} - 1 \over t} \neq {t^{n} - 1 \over t - 1}$
that is $-\int_{0}^{1}{({1 - t})^{n} - 1 \over t}d t \neq \int_{0}^{1}{t^{n} - 1 \over t - 1}d t $
I don't understand where im doing mistake ?