Find the following limit without using the L'Hopital rule: $$\lim_{n\to\infty} \left(\dfrac{\sqrt{n^2+n}-1}{n}\right)^{2\sqrt{n^2+n}-1}$$
Answer: $e^{-1}$
My attempt: Since the limit is of the form $1^{\infty}$, I decided to use the standard formula:
$$\lim_{x\to a} f^g = e^{\lim_\limits{x\to a}(f-1)g}$$
(See link)
Let $l=(f-1)g$.
We have, $$l=\left(\dfrac{\sqrt{n^2+n}-(1+n)}{n}\right)(2\sqrt{n^2+n}-1)$$ This on solving boils down to $$l=2n+3-\sqrt{1+\frac 1n}(2n+3)+\frac 1n$$ Now if I tend $n$ towards infinity, then $l\to 0$ and the limit i.e. $e^l$, is equal to $1$, which contradicts the given answer.
Please help. Thanks!
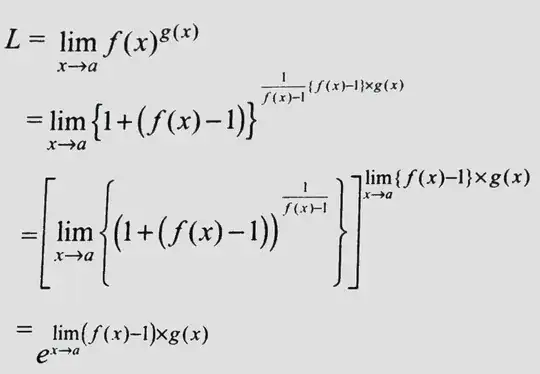
Edit: A proof for the "standard formula" I have used.

Edit 2: just noticed a typo in the power which I have now fixed.