0

enter image description here

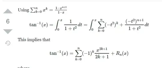
Could someone please explain, in an answer to a question here, how is

$$\int_0^x\sum_{k=0}^n(-t^2)^k+\frac{(-t^2)^{n+1}}{1+t^2}dt$$

derived from $$\int_0^x\frac{1}{1+t^2}dt$$?

1 Answers1

2

Just subsitute $x$ in $\sum_{k=0}^nx^k=\frac{1-x^{n+1}}{1-x}$ as $-t^2$.

More detail :

$$\sum_{k=0}^n(-t^2)^k+\frac{(-t^2)^{n+1}}{1+t^2}=\frac{1-(-t^2)^{n+1}}{1+t^2}+\frac{(-t^2)^{n+1}}{1+t^2}=\frac{1}{1+t^2}.$$ I don't think it can be more explicit..

  • yes, that's what i did initially, but i don't get it..Could you please expand? –  Apr 26 '20 at 23:24
  • yes, now i see that it was obvious. Thanks for clearing it up for me! –  Apr 26 '20 at 23:31