While playing with numbers, I found that every Collatz sequence $n, T(n), T^2(n), \ldots, 1$ can be associated with a strictly decreasing sequence of integers.
The Collatz conjecture asserts that a sequence defined by repeatedly applying the Collatz function \begin{align*} T(n) = \begin{cases} (3n+1)/2 &\text{ if $n \equiv 1 \pmod{2}$, or}\\ n/2 &\text{ if $n \equiv 0 \pmod{2}$} \end{cases} \end{align*} will always converge to the cycle passing through the number 1 for arbitrary positive integer $n$.
Note that multiplying the $n$ by positive odd integer $a$ does not affect the result of the modulo 2 operation. By multiplying the Collatz function by an odd integer $a$, and tracking the $m = an$ rather than $n$, we get \begin{align*} S(m) = \begin{cases} (3m+a)/2 &\text{ if $m \equiv 1 \pmod{2}$, or}\\ m/2 &\text{ if $m \equiv 0 \pmod{2}$,} \end{cases} \end{align*} where each iterate $S^i(m) = a \, T^i(n)$.
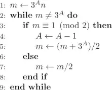
Now we can choose a sufficiently large positive integer $A$ and track $m = 3^A n$. But we do a little trick. Instead of multiplying the $m$ by 3 in the "odd" branch, we just replace $3^A$ with $3^{A-1}$, and track the $3^{A-1}$ from that moment on (the effect is the same). We get the following algorithm:
It can be shown that every next $m$ is strictly less than the previous $m$. Since every next $m$ is smaller than its predecessor, we must hit $m = 1$ at the end. Since we track $m = 3^A n$, once the $m = 1$, then the $A = 0$ and $n = 1$. This implies that for arbitrary positive integer $n$, the sequence $n, T(n), T^2(n), \ldots$ leads to one. Note that once the $m = 3^A$, then the $n = 1$.
I am however stuck to show that there is always the sufficiently large $A$ for a given $n$. Is it possible to show this? I found out that the sufficiently large $A$ does not always exist for the $3x-1$ problem.
Example
The trajectory starting at $n=19$ with $A=9$ (termination at $m = 1$): $$\begin{matrix} n & m & A \\ \hline 19 & 373977 & 9 \\ 29 & 190269 & 8 \\ 44 & 96228 & 7 \\ 22 & 48114 & 7 \\ 11 & 24057 & 7 \\ 17 & 12393 & 6 \\ 26 & 6318 & 5 \\ 13 & 3159 & 5 \\ 20 & 1620 & 4 \\ 10 & 810 & 4 \\ 5 & 405 & 4 \\ 8 & 216 & 3 \\ 4 & 108 & 3 \\ 2 & 54 & 3 \\ 1 & 27 & 3 \\ 2 & 18 & 2 \\ 1 & 9 & 2 \\ 2 & 6 & 1 \\ 1 & 3 & 1 \\ 2 & 2 & 0 \\ 1 & 1 & 0 \\ \end{matrix}$$
