If $S$ is a commutative semigroup, $A, B$ finite non-empty sets,
$\theta \colon B \to A$ a bijection, and $f \colon A \to S$ any
function, then
\begin{equation}
\label{eq:TSCS3}\tag{TSCS$3$}
\sum_{b \in B} f(\theta(b)) = \sum_{a \in A} f(a)
\end{equation}
Proof. This is almost trivial. If $\alpha \colon I_n \to B$
is any bijection, then by two applications of (DSCS$2$),
$$
\sum_B f \circ \theta = \sum (f \circ \theta) \circ \alpha =
\sum f \circ (\theta \circ \alpha) = \sum_A f,
$$
because $\theta \circ \alpha \colon I_n \to A$ is a bijection.
$\square$
Let $S$ be a commutative semigroup, $K$ a finite non-empty set,
$(A_k)_{k \in K}$ a pairwise disjoint family of finite non-empty
sets, and $(f_k \colon A_k \to S)_{k \in K}$ a family of functions.
Write $B = \bigcup_{k \in K} A_k,$ and let $g \colon B \to S$ be the
unique function whose restriction to $A_k$ is $f_k$ for all
$k \in K.$ (More simply, let $g \colon B \to S$ be any function, and
for all $k \in K,$ define $f_k$ to be the restriction of $g$ to
$A_k.$) Then:
\begin{equation}
\label{eq:TSCS4}\tag{TSCS$4$}
\sum_{b \in B} g(b) = \sum_{k \in K} \sum_{a \in A_k} f_k(a) =
\sum_{k \in K} \sum_{a \in A_k} g(a).
\end{equation}
Proof.
Let the distinct elements of $K$ be $k_1, k_2, \ldots, k_m.$ For
$j = 1, 2, \ldots, m,$ let the distinct elements of $A_{k_j}$ be
$a_{j1}, a_{j2}, \ldots, a_{j,n_j}.$ Then the distinct elements of
$B$ are
$$
(b_1, b_2, \ldots, b_p) =
(a_{11}, a_{12}, \ldots, a_{1n_1},
a_{21}, a_{22}, \ldots, a_{2,n_2}, \ldots,
a_{m1}, a_{m2}, \ldots, a_{m,n_m})
$$
where $p = n_1 + n_2 + \cdots + n_m.$
By the generalised associative law (TSCS$1$) and three applications
of (DSCS$2$),
\begin{multline*}
\sum_B g = \sum_{i=1}^p g(b_i) =
g(b_1) + g(b_2) + \cdots + g(b_p) = \\
g(a_{11}) + \cdots + g(a_{1n_1}) +
g(a_{21}) + \cdots + g(a_{2,n_2}) + \cdots
+ g(a_{m1}) + \cdots + g(a_{m,n_m}) \\ =
[g(a_{11}) + \cdots + g(a_{1n_1})] + \cdots
+ [g(a_{m1}) + \cdots + g(a_{m,n_m})] \\ =
\sum_{j=1}^m [g(a_{j1}) + \cdots + g(a_{j,n_j})] =
\sum_{j=1}^m \sum_{i=1}^{n_j} g(a_{ji}) =
\sum_{j=1}^m \sum_{A_{k_j}} g = \sum_{k \in K} \sum_{A_k} g,
\end{multline*}
where the final step is an application of (DSCS$2$) to the function
$$
K \to S, \ k \mapsto \sum_{A_k} g,
$$
using the bijection $I_m \to K,$ $j \mapsto k_j.$ $\square$
Alternative proof. To skip this, go to the next horizontal line.
(I wish I still had a copy of Carl E. Linderholm's satirical classic
Mathematics Made Difficult, because this is probably worthy
of inclusion! But it has the merit of avoiding the ugly notation
and heavy use of ellipsis that mar the first proof.)
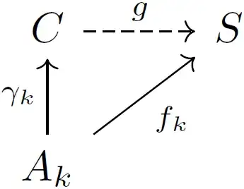
A coproduct of a family of sets $(A_k)_{k \in K}$ is a set $C$
together with a family of functions
$(\gamma_k \colon A_k \to C)_{k \in K}$ possessing the
universal property that for every set $S$ and every family of
functions $(f_k \colon A_k \to S)_{k \in K}$ there exists a unique
function $g \colon C \to S$ such that $g \circ \gamma_k = f_k$ for
all $k \in K$:

In particular, the only function $g \colon C \to C$ such that
$g \circ \gamma_k = \gamma_k$ for all $k \in K$ is the identity map.
It follows that if $(C, (\gamma_k \colon A_k \to C)_{k \in K})$ and
$(D, (\delta_k \colon A_k \to D)_{k \in K})$ are coproducts of the
same family $(A_k)_{k \in K},$ there is a unique bijection
$\theta \colon D \to C$ such that
$\theta \circ \delta_k = \gamma_k$ for all $k \in K$:

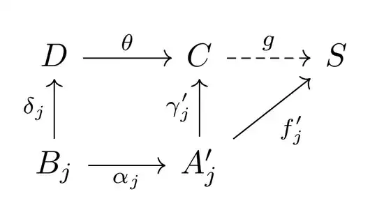
More generally, suppose that $(B_j)_{j \in J}$ is another family of
sets such that there is a bijection $\beta \colon J \to K,$ and for
each $j \in J,$ a bijection $\alpha_j \colon B_j \to A'_j,$ where
$A'_j = A_{\beta(j)}.$ Put $\gamma'_j = \gamma_{\beta(j)}$ for all
$j \in J.$ Then $(C, (\gamma'_j)_{j \in J})$ is a coproduct of
$(A'_j)_{j \in J},$ therefore
$(C, (\gamma'_j \circ \alpha_j)_{j \in J})$ is a coproduct of
$(B_j)_{j \in J},$ therefore there exists a unique bijection
$\theta \colon D \to C$ such that this square commutes
for all $j \in J$:

Therefore, for every family of functions
$(f_k \colon A_k \to S)_{k \in K},$ there exists a unique function
$g \colon C \to S$ making this diagram $(*)$ commute
for all $j \in J$:

where $f'_j = f_{\beta(j)}$.
Every set-indexed family of sets $(A_k)_{k \in K}$ has a coproduct.
The usual construction, which confusingly is called a disjoint
union of the
$A_k$ (even though the point is that the $A_k$ need not be
disjoint), is $E = \bigcup_{k \in K} A^*_k,$ where
$A^*_k = \{k\} \times A_k$ for all $k \in K$ (or
$A^*_k = A_k \times \{k\},$ it makes no difference).
As the Wikipedia article rightly observes, the crucial property of
such a set $E$ is that there is a family of injective functions
$(\epsilon_k \colon A_k \to E)_{k \in K}$ whose images $A^*_k$ form
a partition of $E$. It is clear that any such set $E$, with such
functions $\epsilon_k,$ has the universal property needed for it to
be a coproduct of the $A_k.$
The converse is also true. Let $(C, (\gamma_k)_{k \in K})$ be any
coproduct of the $A_k,$ and let $\varphi \colon C \to E$ be the
unique bijection such that $\varphi \circ \gamma_k = \epsilon_k$ for
all $k \in K.$ Then each of the functions
$\gamma_k = \varphi^{-1} \circ \epsilon_k$ is an injection, and
their images $\gamma_k(A_k) = \varphi^{-1}(A^*_k)$ form a partition
of $C,$ so $(C, (\gamma_k)_{k \in K})$ is a disjoint union of the
$A_k,$ in the sense defined by the Wikipedia article.
We are interested in the case where the set $K$ and all the sets
$A_k$ are finite and non-empty. That is, there exists a positive
integer $m,$ a bijection $\beta \colon I_m \to K,$ and positive
integers $(n_j)_{1 \leqslant j \leqslant m},$ such that there are
bijections
$$
\alpha_j \colon I_{n_j} \to A_{\beta(j)}
\quad (1 \leqslant j \leqslant m).
$$
Given a positive integer $m$ and a sequence of positive integers
$(n_j)_{1 \leqslant j \leqslant m},$ define:
\begin{gather*}
r_j = 1 + \sum_{l=1}^j n_l \quad (j = 0, 1, \ldots, m), \\
p = \sum_{l=1}^m n_l = r_m - 1, \\
\delta_j \colon I_{n_j} \to I_p, \ s \mapsto r_{j-1} + s - 1
\quad (j = 0, 1, \ldots, m).
\end{gather*}
Then $I_p$ is the union of the pairwise disjoint sets
$\delta_j(I_{n_j}),$ and the functions $\delta_j$ are injective,
therefore $(I_p, (\delta_j)_{1 \leqslant j \leqslant m})$ is a
disjoint union of the finite non-empty sequence of sets
$(I_{n_j})_{1 \leqslant j \leqslant m}$; thus it has the
universal property of a coproduct.
We now write the generalised associative law (TSCS$1$) in a more
convenient form when the semigroup $S$ is commutative. Let
$(y^{(j)} \colon I_{n_j} \to S)_{j \in I_m}$ be a finite non-empty
sequence of finite non-empty sequences in $S,$ and, using the
universal property, let $x \colon I_p \to S$ be the unique finite
non-empty sequence in $S$ such that:
$$
x \circ \delta_j = y^{(j)} \quad (j \in I_m).
$$
Then:
\begin{equation}
\label{eq:TSCS1p}\tag{TSCS$1'$}
\sum x = \sum_{i=1}^p x_i =
\sum_{j=1}^m\sum_{k=1}^{n_j}y^{(j)}_k =
\sum_{j \in I_m} \sum y^{(j)}.
\end{equation}
Here (DSCS$2$) has been applied to the function $I_m \to S,$
$j \mapsto \sum y^{(j)},$ using the identity permutation of $I_m.$
The expressions $\sum x$ and $\sum y^{(j)}$ can also be interpreted
as finite unordered sums, by using the identity permutations of
$I_p$ and $I_{n_j}$ respectively. The resulting interpretation of
\eqref{eq:TSCS1p}, as an identity between finite unordered sums
indexed by sets forming a coproduct configuration, is the prototype
of a general result, which is now derived as an easy corollary.
In the diagram $(*),$ take $J = I_m,$ $B_j = I_{n_j}$
($1 \leqslant j \leqslant m$), and $D = I_p,$ with the functions
$(\delta_j \colon I_{n_j} \to I_p)_{j \in J}$ as just defined.
Given a family of functions $(f_k \colon A_k \to S),$ and the
associated function $g \colon C \to S,$ define the sequences
$$
y^{(j)} = f'_j \circ \alpha_j \colon I_{n_j} \to S \quad (j \in J).
$$
Let the sequence $x \colon I_p \to S$ be determined by the $y^{(j)}$
as above. Then for all $j \in I_m,$ the square and left, right, and
lower triangles in this diagram commute:

Moving round the diagram, we find, for all $j \in I_m$:
$$
(g \circ \theta) \circ \delta_j = g \circ (\theta \circ \delta_j) =
g \circ (\gamma'_j \circ \alpha_j) =
(g \circ \gamma'_j) \circ \alpha_j = f'_j \circ \alpha_j = y^{(j)}.
$$
Therefore, by the universal property of the coproduct
$(I_p, (\delta_j)_{j \in I_m}),$ the upper triangle also commutes:
$$
x = g \circ \theta.
$$
With so much preparatory work done, it follows easily that for any
coproduct $(C, (\gamma_k \colon A_k \to C)_{k \in K})$ where the
sets $K$ and $(A_k)_{k \in K}$ are finite and non-empty, and
functions $g \colon C \to S,$ $(f_k \colon A_k \to S)_{k \in K}$
such that $f_k = g \circ \gamma_k$ for all $k \in K$:
\begin{equation}
\label{eq:TSCS5}\tag{TSCS$5$}
\sum_{c \in C} g(c) = \sum_{k \in K} \sum_{a \in A_k} f_k(a).
\end{equation}
Proof.
\begin{align*}
\sum_C g & = \sum_{I_p} x
&& \text{by } \eqref{eq:TSCS3} \text{ using } \theta \\
& = \sum_{j \in I_m} \sum y^{(j)}
&& \text{by } \eqref{eq:TSCS1p} \\
& = \sum_{j \in I_m} \sum_{A'_j} f'_j
&& \text{by } \eqref{eq:TSCS3} \text{ using } \alpha_j \\
& = \sum_{j \in I_m} \sum_{A_{\beta(j)}} f_{\beta(j)}
&& \text{by the definitions of } A'_j \text{ and } f'_j \\
& = \sum_{k \in K} \sum_{A_k} f_k
&& \text{by } \eqref{eq:TSCS3} \text{ using } \beta. \quad \square
\end{align*}
\eqref{eq:TSCS4} is, of course, an immediate corollary of
\eqref{eq:TSCS5}.
If $A, B$ are finite non-empty sets, $S$ a commutative semigroup,
and $f \colon A \times B \to S$ a function, then
\begin{equation}
\label{eq:TSCS6}\tag{TSCS$6$}
\sum_{a \in A} \sum_{b \in B} f(a, b) =
\sum_{b \in B} \sum_{a \in A} f(a, b).
\end{equation}
Proof.
Because $(\{a\} \times B)_{a \in A}$ and
$(A \times \{b\})_{b \in B}$ are partitions of $A \times B,$
\begin{align*}
\sum_{a \in A} \sum_{b \in B} f(a, b)
& = \sum_{a \in A} \ \sum_{(a, b) \in \{a\} \times B} f(a, b)
&& \text{by } \eqref{eq:TSCS3} \\
& = \! \sum_{(a, b) \in A \times B} \! f(a, b)
&& \text{by } \eqref{eq:TSCS4} \\
& = \sum_{b \in B} \ \sum_{(a, b) \in A \times \{b\}} f(a, b)
&& \text{by } \eqref{eq:TSCS4} \\
& = \sum_{b \in B} \sum_{a \in A} f(a, b)
&& \text{by } \eqref{eq:TSCS3}. \quad \square
\end{align*}
If $S, S'$ are commutative semigroups, $\sigma \colon S \to S'$ a
homomorphism, $A$ a finite non-empty set, and $f \colon A \to S$ a
function, then
\begin{equation}
\label{eq:TSCS7}\tag{TSCS$7$}
\sigma\left(\sum_{a \in A} f(a)\right) = \sigma\left(\sum_A f\right)
= \sum_A \sigma \circ f = \sum_{a \in A} \sigma(f(a)).
\end{equation}
Proof.
By induction on $n,$ for any finite non-empty sequence
$x \colon I_n \to S,$
$$
\sigma\left(\sum x \right) =
\sigma\left(\sum_{i=1}^n x_i \right) =
\sum_{i=1}^n \sigma(x_i) =
\sum \sigma \circ x.
$$
Therefore, if $\alpha \colon I_n \to A$ is any bijection, then
$$
\sigma\left(\sum_A f\right) =
\sigma\left(\sum f \circ \alpha\right) =
\sum \sigma \circ (f \circ \alpha) =
\sum (\sigma \circ f) \circ \alpha =
\sum_A \sigma \circ f,
$$
as stated. $\square$
If $S$ is a semiring (not assumed to have a $0$ or $1$), $s$ an
element of $S,$ $A$ a finite non-empty set, and $f \colon A \to S$ a
function, then
\begin{gather}
\label{eq:TSCS8a}\tag{TSCS$8_\text{a}$}
s \! \left(\sum_{a \in A} f(a)\right) = \sum_{a \in A} sf(a), \\
\label{eq:TSCS8b}\tag{TSCS$8_\text{b}$}
\left(\sum_{a \in A} f(a)\right) \! s = \sum_{a \in A} f(a)s.
\end{gather}
Proof. These follow from \eqref{eq:TSCS7} when we take
$\sigma \colon S \to S,$ $t \mapsto st,$ or
$\sigma \colon S \to S,$ $t \mapsto ts,$ respectively. $\square$
If $S$ is a semiring, $A, B$ finite non-empty sets, and
$f \colon A \to S$ and $g \colon B \to S$ functions, then
\begin{equation}
\label{eq:TSCS9}\tag{TSCS$9$}
\sum_{a \in A} \sum_{b \in B} f(a)g(b) =
\left(\sum_{a \in A} f(a)\right)\left(\sum_{b \in B} g(b)\right).
\end{equation}
Proof.
Applying \eqref{eq:TSCS8a}, followed by \eqref{eq:TSCS8b},
$$
\sum_{a \in A} \sum_{b \in B} f(a)g(b) =
\sum_{a \in A} \left(f(a)\sum_{b \in B} g(b)\right) =
\left(\sum_{a\in A} f(a)\right)\left(\sum_{b\in B} g(b)\right).
\quad \square
$$
Other results (tedious or not) could be proved, but I've chosen to
end here, because \eqref{eq:TSCS3}, \eqref{eq:TSCS4},
\eqref{eq:TSCS6} and \eqref{eq:TSCS8a}/\eqref{eq:TSCS8b}
are the only unwritten results about finite unordered sums that I've
found myself relying on in the eight threads listed in the comments.
– Calum Gilhooley Apr 08 '20 at 17:40Reasoning about finite sums
Simplifying $\sum_{n=0}^{\infty}\sum_{m=0}^{\infty}\sum_{l=0}^{\min(n,m)}a_{l}b_{m-l}c_{n-l}$
Inequality resulting from the algebra of summation
Double sum identity
Rearrange a Triple Summation with constraints
Double Summation indexes problem
- How to prove $\sum_{i\in I\setminus J} a_i=\sum_{i\in I} a_i-\sum_{i\in I\cap J} a_i$?
– Calum Gilhooley Apr 08 '20 at 18:10- Interchanging summation involving divisor function
– Calum Gilhooley Apr 08 '20 at 19:09