3

How to calculate the divergence of the following matrices in polar coordinates:

$$\left( \begin{array}{cc} \sigma \rho (r,\varphi ) & \tau (r,\varphi ) \\ \tau (r,\varphi ) & \sigma \varphi (r,\varphi ) \\ \end{array} \right)$$

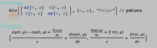
I know that his calculation results in Mathematica are as follows:

enter image description here

But I don't know how to get the above results manually. Can you help me solve this problem or provide relevant references ?

I have a similar question here.

I have seen similar questions in this post, but his answer is too abstract, I want to specifically solve the divergence of my stress function matrix. It is best to give a complete and detailed process.

1 Answers1

2

$\def\ms{\boldsymbol{\sigma}} \def\s{\sigma} \def\r{\rho} \def\f{\varphi} \def\o{\cdot} \def\ra{\rightarrow} \def\ve{{\bf e}} \def\vv{{\bf v}} \def\MM{{\bf M}} \def\id{\mathbb{I}} \newcommand\dv[1]{\nabla\cdot #1} \newcommand\mt[4]{\left[\begin{array}{cc} #1 & #2 \\ #3 & #4 \end{array}\right]} \newcommand\cvc[2]{\left[\begin{array}{cc} #1 & #2 \end{array}\right]} \newcommand\vc[2]{\left[\begin{array}{c} #1 \\ #2 \end{array}\right]}$Consider $\ms$ in the natural basis, $$\ms = \mt{\s_{xx}(x,y)}{\s_{xy}(x,y)}{\s_{yx}(x,y)}{\s_{yy}(x,y)}.$$ We can write this as $$\ms = \s_{ij}\ve_i \ve_j^T,$$ where $\ve_x=\cvc{1}{0}^T$ and $\ve_y=\cvc{0}{1}^T$. We can relate the components of $\ms$ in different orthonormal bases in the following way. We have \begin{align*} \ms=\s_{ij}\ve_i \ve_j^T = \s_{i'j'}\ve_{i'}\ve_{j'}^T, \tag{1} \end{align*} and so $$\s_{ij} = \ve_i^T \ve_{i'} \s_{i'j'} \ve_{j'}^T \ve_j$$ or $$\ms = \MM^T\ms' \MM,$$ where $\ms'=[\s_{i'j'}]$ is the matrix of components in the primed basis and where $$M_{i'i} = \ve_{i'}^T \ve_i.$$ By assumption the bases are orthonormal, so $\MM^T = \MM^{-1}$. (Note that, by (1) and the fact that the Kronecker delta is unchanged by coordinate transformation, $\id = \ve_i \ve_i^T = \ve_{i'}\ve_{i'}^T$. Thus, $[\MM^T\MM]_{ij} = \ve_{i}^T \ve_{i'} \ve_{i'}^T\ve_j = \ve_i^T \ve_j = [\id]_{ij}.$)

A similar argument can be made to show that the components of a vector $\vv$ in the different bases are related by \begin{align*} \vv' &= \MM \vv, \tag{2} \end{align*} where $\vv$ and $\vv'$ are the vectors whose components are in the natural and primed bases, respectively. (We assume that $\MM=\MM(x',y')$.)

We write the divergence in the primed basis as $[\dv\ms]'$. Note that this quantity is a vector, and so transforms as indicated in (2). Thus, \begin{align*} [\dv\ms]' &= \MM[\dv\ms]_{(x,y)\ra(x',y')} \\ &= \MM[\dv(\MM^T\ms' \MM)_{(x',y')\ra(x,y)}]_{(x,y)\ra(x',y')}. \end{align*}

For this problem we have \begin{align*} [\dv\ms]' &= \MM[\dv(\MM^T\ms' \MM)_{(\r,\f)\ra(x,y)}]_{(x,y)\ra(\r,\f)}.\tag{3} \end{align*} Note that \begin{align*} \ve_\r &= \cos\f \,\ve_x + \sin\f \,\ve_y \\ \ve_\f &= -\sin\f \,\ve_x + \cos\f \,\ve_y. \end{align*} (This basis is orthonormal by inspection.) This implies, for example, that $$M_{\r x} = \ve_\r^T \ve_x = \cvc{\cos\f}{\sin\f} \vc{1}{0} = \cos\f.$$ Calculating the other components, one finds $$\MM = \mt{\cos\f}{\sin\f}{-\sin\f}{\cos\f}$$ or $$\MM_{(\r,\f)\ra(x,y)} = \frac{1}{\sqrt{x^2+y^2}} \mt{x}{y}{-y}{x}.$$ Note also that $$[\ms'(\r,\f)]_{(\r,\f)\ra(x,y)} = \ms'(\sqrt{x^2+y^2},\arctan y/x).$$ It is now a straightforward, if tedious, task to work out the correct form for $[\dv\ms]'$.

Addendum

(* mma code to check (3) *)

fs[foo_] := FullSimplify[foo, {r > 0, -Pi < f < Pi}]; rpc = {r -> Sqrt[x^2 + y^2], f -> ArcTan[x, y]}; rcp = {x -> r Cos[f], y -> r Sin[f]}; Apolar = {{srr[r, f], srf[r, f]}, {sfr[r, f], sff[r, f]}}; M = {{Cos[f], Sin[f]}, {-Sin[f], Cos[f]}}; Mt = Transpose[M];

M //. rpc // fs Apolar[[1]][[1]] //. rpc (* out: [a check on some relations above] *)

ansmma = Div[Apolar, {r, f}, "Polar"] // fs (* out: [divergence according to mma] *)

ans = M.Div[Mt.Apolar.M //. rpc, {x, y}, "Cartesian"] //. rcp // fs (* out: [divergence using (3)] *)

ans == ansmma // fs (* out: True *)

user26872
  • 19,465