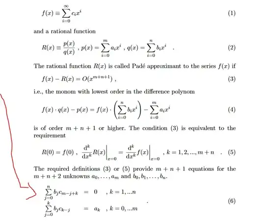
In the below snippet, the equations are listed that need to be used to solve for the Padé approximant. How are these equations derived? I get they want the derivatives to be equal at zero, but I don't see how those equations follow from that knowledge.
Asked
Active
Viewed 30 times
0

b_0can be set to 1 without loss of generality. – hans Mar 26 '24 at 09:15