Warning first, I have no formal mathematical education, I might butcher some of the terms below. I've recently had to build an algorithm to find the intersections between two arbitrary paths. I managed to solve the equations for line to line, line to quadratic bezier and line to cubic bezier. For bezier to bezier I had to go with an approximation.
Naturally, I wanted to resolve it mathematically as well, however, I found out that there is no current way to do it. Then on all kinds of obscure places on the internet, people were saying it has been done, or that they have the solution, but I didn't found a proof. I'm a bit confused, I'm not sure if it's possible or not, it sure thing looks extremely difficult, but other difficult things have been solved before.
So I'm looking for authoritative answer on:
- Is there a solution for this?
- Will there ever be one? (where does the difficulty lie?)
- Is this moving in any direction? What are people looking at in order to solve it (if the idea was not abandoned already)
I'm guessing it might have something to do with the resulting polynomial high degree, which is impossible to solve?
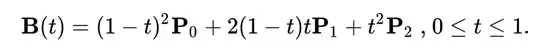
EDIT: A bit of clarification:
Given the parametric quadratic bezier equation:
I would like to find all the t's at which b(x) = a(x) (basically, the intersection)
Here's how you'd do it with a line and a bezier: Intersections Between a Cubic Bézier Curve and a Line
I'm looking for the next step, bezier to bezier.

tis always real and [0, 1], is it possible to simplify things with this info or I'll have to solve it normally and this will only help me choose a the correct roots? – Rad'Val Jan 18 '20 at 00:04