Let $$f(x,y)=\left\{\begin{array}{l} (x^2+y^2) \sin(\frac{1}{\sqrt{x^2+y^2}}),\:\text{if $(x,y) \not= (0,0)$;}\\ 0,\:\text{if $(x,y)=(0,0)$;} \end{array}\right.$$
Prove that the partial derivatives exist for all $c \in R^2$ but are not continuous in $(0,0)$
My approach:
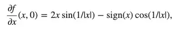
I have already proved that the partial derivatives exist if $(x,y) \neq (0,0)$. and n the case that $(x,y) = (0,0)$:
\begin{align} \frac {\partial f}{\partial x}(0,0)&=\lim_{t \rightarrow 0} \frac{f[(0,0)+t(1,0)]-f(0,0)}{t}\\ &=\lim_{t \rightarrow 0} \frac{f[(t,0)]}{t} \\ &=\lim_{t \rightarrow 0} \frac{t^2 \sin (1/t)}{t} \\ &=\lim_{t \rightarrow 0} {t \sin (1/t)} \end{align} and due to $\lim_{t \rightarrow 0} t=0$ and $\sin (1/t) \le 1 $ then $=\lim_{t \rightarrow 0} {t \sin (1/t)}=0$
In the same way I can prove that $\frac {\partial f}{\partial y}(0,0)=0$
In order to prove that the partial derivatives are not continuous I must prove that $\lim_{(x,y) \rightarrow (0,0)} \frac {\partial f}{\partial x}(0,0) \neq 0$
I'm stuck here. Any ideas?

