In this thread, I have asked about a way to calculate the coefficients of the power series for $\cos(\sin(x))$ What is wrong with my series expansion of $\cos(\sin(x))$
I received a reply from Willie Wong, in which he gives a rather terse formula for my calculation. I fail to grasp it since it is written in compact sigma notation so I need you to help me to understand a few points.
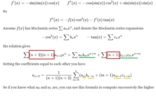
The relevant part is included in this image:
Firstly, I don't understand the red part $(n+1)(n+2)$ (in red underlined), is this the result from differentiation?
In the yellow underlined, I don't understand why he changes the subscript.
Could you please use this formula to calculate the first few terms for the series of $\cos(\sin(x))$. If possible, can you explain and rewrite the formula in more explicit forms the sigma notation, since I am still not used to compact notation.
Finally, is there a simpler method to derive the coefficients for this function's series?
