6

I have moment generating function

$$ M_z (t) = \dfrac {\lambda^2} {(\lambda-at) (\lambda-t)}, $$ and I'm trying to calculate the PDF from this function. I feel like some kind of inverse transform is required here, but I can't figure it out.

DJ_
  • 255
  • Have you considered that this mgf is the product of 2 mgfs? Given $X$ and $Y$ are independent random variables and $W = X+Y$, the mgf of $W$ is $M_W(t) = M_X(t) + M_Y(t)$. I am thinking something like $\frac{\lambda^2}{(\lambda-at)(\lambda-t)}=\begin{pmatrix}\frac{\lambda}{\lambda - at}\end{pmatrix}\begin{pmatrix}\frac{\lambda}{\lambda - t}\end{pmatrix}$ – bryan.blackbee Mar 27 '13 at 17:09
  • Try partial fractions, and then see if you can find what kind of random variable has an MGF of the form $\lambda/(\lambda-at)$ or $\lambda/(\lambda-t)$. – Dilip Sarwate Mar 28 '13 at 03:28
  • @bryansis2010 If $X$ and $Y$ are not independent, what is the mgf of $W=X+Y$? – Dilip Sarwate Mar 28 '13 at 03:30
  • @DilipSarwate One assumes that X and Y are independent here... :-) – Did May 02 '13 at 23:59
  • 1
    @bryansis2010 don't you mean $M_w(t) = M_X(t)M_Y(t)$, i.e., the product? See Theorem 4.2.12 in Casella & Berger. – chbrown Oct 29 '13 at 03:42

2 Answers2

15

Inverting generating functions is not always easy. It does help to state any constraints on the parameters (which are left unstated here by the OP). Anyway, the approach is: First, convert your mgf into a characteristic function (i.e. replace t -> I t):

enter image description here

Next, invert the characteristic function to yield the pdf (using Mathematica here), using an inverse fourier transform. To get a 'neat' result, it appears we need the parameter constraints {a > 0, $\lambda$ > 0}, so I have added these as assumptions:

enter image description here

HeavisideTheta[x] is a function that is 0 for x<0, and 1 for x > 0, so our pdf is:

enter image description here

Finally, a quick check to make sure all is OK: generate the mgf from the pdf to see it is the same as that we started with (here using the Expect function in mathStatica/Mathematica):

enter image description here

... and all is OK :)

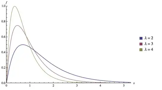
Finally, here is a quick plot of the derived pdf, as parameter $\lambda$ varies:

PlotDensity[f /. {a -> 2, \[Lambda] -> {2,3,4}}]

enter image description here

wolfies
  • 5,174
  • 7
    Why not using directly InverseLaplaceTransform? Is there some inner subtlety of the workings of Mathematica which would make preferable a detour by Fourier? – Did May 03 '13 at 08:27
12

(This explains in detail a suggestion by @Dilip then expands briefly on another one by @bryanis2010, both leading to excellent general approaches. Thus, the aim of this post is to provide a mathematical answer to a question which has none, so far.)

As every rational function, $M_Z$ can be decomposed into partial fractions, here, for every $a\ne1$, $$ M_Z(t)=\frac{u}{\lambda-at}+\frac{v}{\lambda-t}, $$ for some parameters $u$ and $v$ one can readily identify as $u=-a\lambda/(1-a)$ and $v=\lambda/(1-a)$.

Now, one of the easiest to remember generating functions is that, if $X$ is standard exponential, then $$ M_X(t)=E[\mathrm e^{tX}]=\int_0^{+\infty}\mathrm e^{tx}\mathrm e^{-x}\mathrm dx=\frac1{1-t}. $$ Hence, for every positive $\mu$, $$ \frac1{1-\mu t}=E[\mathrm e^{t\mu X}]. $$ Applying this to $\mu=1/\lambda$ and to $\mu=a/\lambda$ yields $$ M_Z(t)=\frac{u}{\lambda}E[\mathrm e^{taX/\lambda}]+\frac{v}{\lambda}E[\mathrm e^{tX/\lambda}]. $$ This indicates that $$ M_Z(t)=\frac{u}{\lambda}\int_0^{+\infty}\mathrm e^{tax/\lambda}\mathrm e^{-x}\mathrm dx+\frac{v}{\lambda}\int_0^{+\infty}\mathrm e^{tx/\lambda}\mathrm e^{-x}\mathrm dx, $$ that is, $$ \int_0^{+\infty}\mathrm e^{tx}f_Z(x)\mathrm dx=-\frac{a}{1-a}\int_0^{+\infty}\mathrm e^{tx}\mathrm e^{-x\lambda/a}\frac{\lambda}a\mathrm dx+\frac1{1-a}\int_0^{+\infty}\mathrm e^{tx}\mathrm e^{-x\lambda}\lambda\mathrm dx, $$ hence, finally, $$ f_Z(x)=\frac{\lambda}{1-a}(\mathrm e^{-x\lambda}-\mathrm e^{-x\lambda/a}). $$ The simplest method to solve the case $a=1$ might be to consider the limit when $a\to1$ of this expression, yielding the correct gamma density $$ f_Z^{(a=1)}(x)=\lambda^2x\mathrm e^{-x\lambda}. $$


Another method, suggested by @bryanis2010 in comments is to note that $M_Z$ is the product of two generating functions, each easily identifiable, namely $$ M_Z(t)=\frac{\lambda}{\lambda-at}\cdot\frac{\lambda}{\lambda-t}=E[\mathrm e^{atX/\lambda}]\cdot E[\mathrm e^{tX/\lambda}], $$ hence $Z$ is distributed as $(aX+Y)/\lambda$ where $Y$ is also standard exponential, independent from $X$. This yields $f_Z$ as the convolution of two well known densities, for the same end result as above, the $a=1$ case (gamma random variable) being particularly direct.

Did
  • 279,727