I want to get the inverse of aforementioned function. I know it is not one-to-one normally, but my $x$ is restricted to $[0,1]$ where we have no problem. I didn't really know how to inverse such a complicated function so I tried to get an answer online.
I visited 2 different websites, wolframalpha and emathhelp. My problem is, these 2 "calculators" give me a slightly different result and I can't find out if it is the same or not, so I don't know what the correct inverse is.
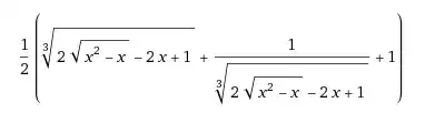
I post 2 pictures with the 2 results. The first is from wolfram and the second for emath.
I've noticed that if I insert the $-1$ in the cubic root by writing it as $\sqrt[3]{-1}$ the signs of $2x$ and $1$ change accordingly, but the sign of the square root is staying the same.
Perhaps I somehow transform the $\sqrt[3]{-1}$ into a complex number involving $i$ and that affects the sign of the square root ? Not sure.
Any help would be greatly appreciated.
EDIT: My question seems to be the same with another and thank you for pointing it out to me. However people in the comments pointed out that for $ x$ in $[0,1]$ the term inside the square root becomes negative. Is that a problem? Can I accept this solution as the inverse function in the restricted domain $[0,1]$? I would still like a more detailed answer about the actual inverse of the function if this isn't the correct one, if of course someone can offer it. Thanks a lot .

