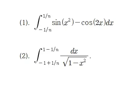
I'm trying to solve improper integrals but some patterns i can't do anything... This question is patterns of them. please help to to solve this question
It's okay that helping just one of them. I really need somebody's help...
questions is "State whether the sequence converges as $n\to\infty$; if it does, find the limit."
