Is there any formula for the following sequence which does not use any derivative and also is less
advanced:
$$\sum_{k=1}^{n}\left(2k-1\right)\left(\frac{1}{2}\right)^{k}$$
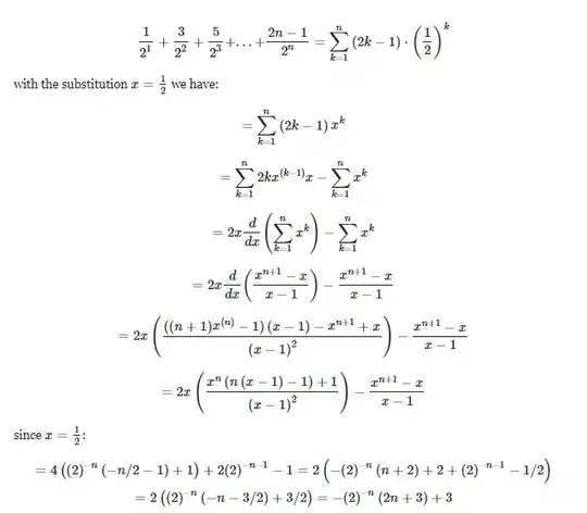
I've calculated the general formula
and here is a photo of the solution
1: 
-
you can also use induction – Ethan Oct 24 '19 at 16:07
2 Answers
We have that
$$\sum_{k=1}^{n}\left(2k-1\right)\left(\frac{1}{2}\right)^{k}=2\sum_{k=1}^{n}k\left(\frac{1}{2}\right)^{k}-\sum_{k=1}^{n}\left(\frac{1}{2}\right)^{k}$$
then for the first term we can use the approch indicated here
- 154,566
It's a fairly simple proof by induction.
$$\mathcal{H}_n \ : \ \left\{ \sum_{k=1}^{n}\left(2k-1\right)\left(\frac{1}{2}\right)^{k} = -2^{-n}(2n+3)+3\right\}$$
Base case is obvious, $\mathcal{H}_1$ is true.
Induction. Suppose $\mathcal{H}_n$ true. Now $$\sum_{k=1}^{n+1}\left(2k-1\right)\left(\frac{1}{2}\right)^{k} = \sum_{k=1}^{n}\left(2k-1\right)\left(\frac{1}{2}\right)^{k} +(2n+1)\left(\frac{1}{2}\right)^{n+1}$$ By induction
$$\begin{align*} \sum_{k=1}^{n+1}\left(2k-1\right)\left(\frac{1}{2}\right)^{k} &= -2^{-n}(2n+3) +3+(2n+1)\left(\frac{1}{2}\right)^{n+1}\\ &= \underbrace{-2^{-n}(2n+1)}_{A} -\underbrace{2^{-n}2}_{B} +\underbrace{(2n+1)2^{-n}\left(\frac{1}{2}\right)}_{C} + 3\\ \end{align*} $$ Summing $A$ and $C$, and rewriting $B$ as $2^{-n}2=2^{-(n+1)}4$ we get $$\sum_{k=1}^{n+1}\left(2k-1\right)\left(\frac{1}{2}\right)^{k} = -2^{-(n+1)}(2n+5)+3$$ Hence $\mathcal{H}_{n+1}$ is true, and by induction principle,
$$\forall n\geq 1, \ \sum_{k=1}^{n}\left(2k-1\right)\left(\frac{1}{2}\right)^{k} = -2^{-n}(2n+3)+3$$
Edit - more direct approach Using inspiration from this question Let $$F_n(x)=\sum_{k=1}^nkx^k=x+2x^2+\ldots+nx^n$$ Then $$F_n(x)-xF_n(x) = x+x^2+x^3+\ldots+x^n-nx^{n+1}$$ $$F_n(x)-xF_n(x) = \sum_{k=1}^nx^k-nx^{n+1}$$ $$F_n(x)-xF_n(x) = x\frac{1-x^n}{1-x}-nx^{n+1}$$ So that $$F_n(x) = x\frac{1-x^n}{(1-x)^2}-\frac{nx^{n+1}}{1-x}$$
Now, using @user remark, we have $$\sum_{k=1}^{n}\left(2k-1\right)\left(\frac{1}{2}\right)^{k}=2\sum_{k=1}^{n}k\left(\frac{1}{2}\right)^{k}-\sum_{k=1}^{n}\left(\frac{1}{2}\right)^{k}$$
And
$$\sum_{k=1}^{n}(2k-1)\left(\frac{1}{2}\right)^{k}= 2F_n(1/2)-(1-2^{-n})$$ Using our formula for $F_n(x)$, $$\sum_{k=1}^{n}(2k-1)\left(\frac{1}{2}\right)^{k}= 2\cdot\left(\frac{1}{2}\frac{1-2^{-n}}{(1/2)^2}-\frac{n2^{-(n+1)}}{1/2}\right) - (1-2^{-n})$$
$$\sum_{k=1}^{n}(2k-1)\left(\frac{1}{2}\right)^{k}= 4 (1-2^{-n}) - 4n2^{-(n+1)} - (1-2^{-n})$$ $$\sum_{k=1}^{n}(2k-1)\left(\frac{1}{2}\right)^{k}= 3 (1-2^{-n}) - 4n2^{-(n+1)}$$ And finally $$\sum_{k=1}^{n}\left(2k-1\right)\left(\frac{1}{2}\right)^{k} = -2^{-n}(2n+3)+3$$
- 4,685
-
1Thank you so much ,but is there another way which does not use induction?because before we use induction we need to know what exactly is the formula,after that we may use induction. – Absurd Oct 24 '19 at 16:31
-
-
I'm put lots of details that's why the proof is a bit long, but is very simple at each step. – Thomas Lesgourgues Oct 24 '19 at 17:06