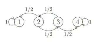
Let's consider the following Markov chain. If we start at state $2$, compute the probability to hit $4$ and the expected time until it happens.
The probability to hit $4$ in $n$ steps starting at $2$ is $Pr(X_n=4|X_0=2)=(\frac{1}{2})^n$ if $n$ is even, and $0$ if $n$ is odd. Then, the total probability of hitting 4 if we start at 2 will be$\sum_{n\geq1}Pr(X_n=4|X_0=2)=\sum_{i\geq1}(\frac{1}{2})^{2i}=\sum_{i\geq1}\frac{1}{4^i}=\frac{1}{3}$
How can I calculate $\mathbb{E}(T_{24})?$ I have tried considering the mean hitting times $m_{ij}$, so $m_{24}=1+\frac{1}{2}m_{14}+\frac{1}{2}m_{34}$ and $m_{34}=1+\frac{1}{2}m_{44}+\frac{1}{2}m_{24}=1+\frac{1}{2}m_{24}$.
The solution in my book is $m_{24}=m_{34}=3$, which does not seem intuitive to me.

