0

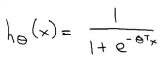
I have been reading about logistic regression and it says that the hypothesis functions is as following:

enter image description here

Theta is a vector that is transposed. If x is a scalar, then their product is a vector. How do you calculate for instance 1^[1 2 3] ?

2 Answers2

2

$x$ is almost certainly a vector of the same size as $\theta$ so the result is a scalar. In general it doesn't make sense to take the exponential of a vector. The exponential is defined as $$e^x=\sum \frac{x^n} {n!}$$ This makes sense if $x$ is a scalar or a matrix, but vectors in general don't have a product operation.

Matt Samuel
  • 58,164
0

As someone who's studied this before, I can confirm @MattSamuel's explanation is correct. But the original equation's choice to write $\theta\cdot x$ as $\theta^Tx$ involves a slight abuse of notation, as I've discussed before here.

J.G.
  • 115,835