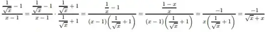
This is the full solution given in my book:
Can someone please explain to me how it goes from Step 4 to Step 5? Specifically, I do not understand how the numerator simplifies to -1 and how the first term in the denominator, (x-1) becomes x.
This is the full solution given in my book:
Can someone please explain to me how it goes from Step 4 to Step 5? Specifically, I do not understand how the numerator simplifies to -1 and how the first term in the denominator, (x-1) becomes x.
They use this about fractions: $\quad\dfrac{\cfrac{\not a}b}{\cfrac{\not a}c}=\dfrac cb$.
More precisely, here $$\frac{\cfrac{\color{red}{1-x}}x}{\color{red}{(x-1)}\biggl(\cfrac1{\sqrt x}+1\biggr)}=\frac{-\cfrac1x}{\biggl(\cfrac1{\sqrt x}+1\biggr)}=-\frac1 {x\biggl(\cfrac1{\sqrt x}+1\biggr)}$$
The solution just factored out a $-1$.
Start with step $4$. $$\frac{\frac{1-x}{x}} {(x-1)(\frac{1}{\sqrt{x}}+1)}$$
Now, factor out $-1$ from the numerator of the numerator. This gives us $$\frac{\frac{-1(-1+x)}{x}} {(x-1)(\frac{1}{\sqrt{x}}+1)}$$
Now, reduce the complex fraction as usual by multiplying the numerator and denominator by $x$, which gives us the following. $$\frac{{-1(-1+x)}} {(x)(x-1)(\frac{1}{\sqrt{x}}+1)}$$
Notice that $-1+x=x-1$. These terms cancel, leaving us with the result in step $5$.