I am reading a book and current I am doing some exercises. The exercise that I am having trouble with is this:
Solve the following equation for $z$:
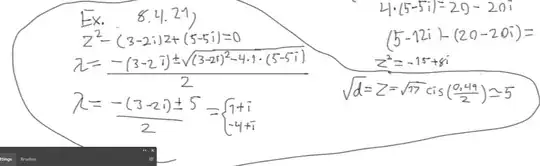
$z^2-(3-2i)z+(5-5i)=0$
I know that the solution is $2+i$ and $1-3i$ but I do not know the steps to get to this result. I have tried using the polar form of complex number to calculate the roots using the solution formula for quadratic equations. However, what I get is not even near the correct results :/
So if anyone could give a user-friendly walkthrough of how to solve that quadratic polynomial - I would be very very happy!
Oh, and here is my general results, if you manage to read it :P
