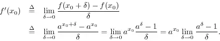
Reading this page to understand where does Euler's Theorem come from, the proof gets to a point where it tries to define the derivative of the exponent functions $f(x) = a^x$ as follows:
First it states that
Next it notes that, given
$$\lim_{\delta\to0}\frac{2^\delta-1}{\delta}<1<\lim_{\delta\to0}\frac{3^\delta-1}{\delta}\ ,$$
there must be an $a$ such that $\lim_{\delta\to0}\frac{a^\delta-1}{\delta} = 1$ and this $a$ is defined to be a number $e$.
Now, I get why there must be such $e$ given this last fact, but how to prove this fact non circularly? To evaluate those limits one would use l'Hospital's rule, hence deriving an exponential function, which is precisely what we are trying to define.
Is there another way of evaluating these limits without deriving the exponentials $2^\delta$ and $3^\delta$?
