I am trying to solve the following question from Sheldon Ross, Introduction to Probability Models.
I am struggling to prove the first of the 3 conditions,
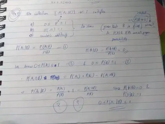
I thought of using the inclusion exclusion theorem, but I can't think of how to prove these bounds for $ P(A_i \cup B)$ . I was thinking that showing $P(\phi | B) = 0$ and $P(\Omega |B) = 1 $ should be enough since $\phi \subseteq A_i \subseteq \Omega $. But I want rigor in my proof.
Now I think my proof for condition 2 is correct and straightforward. For condition 3, I used $n=2$ as the base case and proved it via induction. But I am not sure it is a valid proof since $\infty$ is not a natural number and stackexchange seems to agree that it is not valid. I was wondering if induction is enough to show that countable additivity holds for any countably infinite sequence of events ${A_1, A_2, \cdots }$ which are mutually exclusive. When can I use induction to prove that it holds for an infinite of cases? What other tools are there?
My attempts -




