3

Paul's Online Notes (link) writes:

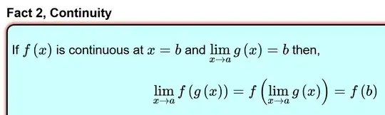
enter image description here

I have some doubts about the above claim. In particular, I'm not sure if it's correct if $b$ is an isolated point of the domain of $f$.

I have tried to come up with the counterexample below. Is my counterexample mistaken? And if it isn't, how can we fix the above claim so that it becomes correct?


Counterexample. Define $f:\left\{ 2\right\} \rightarrow\mathbb{R}$ by $f\left(2\right)=3$.

Define $g:\mathbb{R}\rightarrow\mathbb{R}$ by $g\left(x\right)=x+1$

Then

  • $\lim_{x\rightarrow1}g\left(x\right)=2$
  • $f\left(x\right)$ is continuous at $2$ (because $2$ is an isolated point of the domain of $f$)
  • $f\left(\lim_{x\rightarrow1}g\left(x\right)\right)=f\left(2\right)=3$.

However, $\lim_{x\rightarrow1}f\left(g\left(x\right)\right)$ does not exist. (The composite function $f\circ g$ is not defined for any $x\neq 1$.)

And so, contrary to the above claim, $$\lim_{x\rightarrow1}f\left(g\left(x\right)\right)\neq f\left(\lim_{x\rightarrow1}g\left(x\right)\right).$$


In response to Hyperion and Rick's comments, here is a screenshot from Abbott (2015, p. 122, Understanding Analysis). See especially the highlighted paragraph:

enter image description here

  • 1
    Realize that the domain of $f\circ g$ is ${1}$, so in fact $\lim_{x\to 1}f(g(x))$ does exist and is equal to $3$. – Hyperion Aug 06 '19 at 06:36
  • @Hyperion: I thought $\lim_{x\rightarrow a} h(x)$ does not exist if $a$ is an isolated point of the domain of $h$? –  Aug 06 '19 at 06:39
  • 1
    A function defined only at a single point is trivially continuous. https://math.stackexchange.com/questions/1095887/is-a-function-defined-at-a-single-point-continuous – Hyperion Aug 06 '19 at 06:42
  • For another example, consider the fact that all functions of the form $f:\mathbb{N}\to\mathbb{R}$ are continuous. – Hyperion Aug 06 '19 at 06:44
  • 3
    @Hyperion: I think you might be mistaken here --- "$h$ is continuous at $a$" does not imply that $\lim_{x\rightarrow a} h(x)$ exists. For example, if $a$ is an isolated point, then by definition, "$h$ is continuous at $a$". However, $\lim_{x\rightarrow a} h(x)$ does not exist (I think?). See e.g. https://math.stackexchange.com/questions/27429/why-not-define-limits-to-include-isolated-points –  Aug 06 '19 at 06:49
  • Please look at the definition of continuity of a function at a point here https://en.wikipedia.org/wiki/Continuous_function what @Hyperion said is correct I guess. – Rick Aug 06 '19 at 07:06
  • @Rick: From that Wikipedia article: "(We have here assumed that the domain of f does not have any isolated points. For example, an interval or union of intervals has no isolated points.)" –  Aug 06 '19 at 07:07
  • @JerryS1988 Did you read all the definitions given there? For instance, have a look at definition w.r.t neighbourhoods. – Rick Aug 06 '19 at 07:10
  • @Rick: Instead of asking me to read an entire Wikipedia article, could you just directly say what you want to say? If I'm wrong, explain where exactly I'm wrong and why. –  Aug 06 '19 at 07:12
  • @JerryS1988 Sorry, I cannot help any further if you aren't willing to read at least what I pointed out. – Rick Aug 06 '19 at 07:15
  • @Rick + Hyperion: I have added a screenshot from Stephen Abbott's Understanding Analysis that I hope will clear your doubts. –  Aug 06 '19 at 07:15
  • Funnily enough I was just reading Abbott. I think there have to be certain restrictions on the theorem, specifically that the $a,b$ are limit points of both of the functions. – Sorfosh Aug 06 '19 at 09:52
  • @JerryS1988 Thanks for pointing that out. I now see what you wanted to say. I think that your formalism is correct, also I guess that the notes you read online assume the fact that $b$ is not an isolated point as it uses the fact that, continuity implies limit exists, in its proof. – Rick Aug 06 '19 at 11:06

1 Answers1

1

The definition of limit does not make sense in isolated points because in that case any real number would be the limit of the function at that point.

Recall the definition of limit:

Let $f: A \longrightarrow \mathbb{R}$ be a real function and $a$ be an adherent point of A. We say $f$ has limit $\lambda$ as $x$ approaches $a$ if for every real $\varepsilon >0$ there exists a real $\delta >0$ such that the implication

$$x\in A \wedge 0<|x-a|<\delta \implies |f(x)-\lambda|<\varepsilon$$

is true.

We can observe in the first place that as $0<|x-a|<\delta$ we don't care about the point $a$ itself so the function may not be even defined at a point and the limit can exist. For example, if we define $f:\mathbb{R}\setminus \{0\} \longrightarrow \mathbb{R}$ as $f(x)=x\sin\left( 1/x\right)$ we can see that its limit as $x$ approaches $0$ is in fact $0$.

The problem with isolated points is that if $a$ is an isolated point of $A$, then there exists a $\delta >0$ such that the set $E=\{x \in A: 0<|x-a|<\delta\}$ is empty, so given any $\lambda \in \mathbb{R}$, for every $\varepsilon >0$ the implication

$$x \in E \implies |f(x)-\lambda|<\varepsilon$$

is trivially true because $x \in E$ is always false as $E$ is the empty set, so $\lambda$ would be a limit of $f$ as $x$ approaches $a$ for every real value of $\lambda$.

So, in the situation of isolated points, the limit is not unique and so the definition would not be any useful and that is why it is required that $a$ is an adherent point of $A$.

Now we have the proper definition in detail, the theorem you posted would be:

Let $A$ and $B$ two subsets of real numbers, $a$ an adherent point of $A$ and $f: A \longrightarrow B$, $g: B \longrightarrow \mathbb{R}$ two functions that verify:

  1. $\displaystyle{\lim_{x \to a} f(x)=\lambda}$
  2. It is true one of the following:

    a) $\lambda \in B$ and $g$ is continuous in $\lambda$, let $\alpha=g(\lambda)$

    b) $f(x) \not = \lambda$ for every $x$ in a puntured neighbourhood of $a$ and $\displaystyle{\lim_{y \to \lambda} g(y)=\alpha}$

Then, the limit of the composed function $g \circ f: A \longrightarrow \mathbb{R}$ exits and we have

$$\alpha=\displaystyle{\lim_{x \to a} (g \circ f)(x)}=\displaystyle{\lim_{x \to a} g(f(x))}$$

To prove it, we will use the characterization of limits by sequences, so given $x_n$ any sequence convergent to $a$ such that $x_n \in A$, $x_n \not = a$ for every $n$ big enough, we must prove that $g(f(x_n))$ converges to $\alpha$.

In the first place, because of 1 we know that $f(x_n)$ converges to $\lambda$.

Now, if 2a) is true, we have that because of the continuity of $g$ at $\lambda$, $g(f(x_n))$ converges to $g(\lambda)=\alpha$.

If 2b) is true, as $x_n$ converges to $a$ and $x_n \not =a$ for $n$ big, we have that for $n$ big enough, $x_n$ would be in the puntured neibourhood given by 2b), so $f(x_n) \not = \lambda$ for $n$ big, and by the characterization of limits by sequences applied to $g$, $g(f(x_n))$ converges to $\alpha$.

Eparoh
  • 1,275
  • Could you please write your answer in reference to the question? That is, in reference to (1) the stated claim from Paul's Online Notes (is this claim right or wrong?); and (2) the given counterexample (is this a valid counterexample to the claim in Paul's Online Notes or not?). –  Aug 11 '19 at 00:29
  • I think the notes you mention are correct because they define limits in punctured intervals, so every point in the interval (included the one it is excluded) is an adherent point to the interval, so based on that definition you should consider that $g$ in fact 2 you mention is defined in an interval that contains $a$ (except possibly at $a$), so $a$ is an adherent point of the domain of $g$. On the other hand, your counterexample is okay if you just get that fact 2 out of context because as I explain in the above comment it doesn't make sense to talk about limits at isolated points. – Eparoh Aug 14 '19 at 06:47
  • And, to clarify, the domain of $g$ when you consider the composition with $f$ in your example is not $\mathbb{R}$, it is the set ${1}$ as you mentioned at the end of tour counterexample. Look at the detailed proposition I gave and see how it is specified the domain and range of the functions involved. – Eparoh Aug 14 '19 at 06:52