I assume you are testing the null hypothesis that the
die is fair.
Chi-squared statistic. As as stated in @Henry's Comment, the chi-squared statistic for your data computes to
$$Q = \sum_{i=1}^6 \frac {(X_i - E_i)^2}{E_i} = 7.92.$$
Using R as a calculator:
X = c(19, 23, 28, 17, 32, 31); X
[1] 19 23 28 17 32 31
E = mean(X); E
[1] 25
X - E
[1] -6 -2 3 -8 7 6
(X-E)^2
[1] 36 4 9 64 49 36
(X-E)^2/E
[1] 1.44 0.16 0.36 2.56 1.96 1.44
sum((X-E)^2/E)
[1] 7.92
If the die is fair, then $Q \stackrel{aprx}{\sim}
\mathsf{Chisq}(\nu = 6-1 = 5).$
Critical value for test at 5% level. The critical value for a test at the 5% level is $c = 11.0705.$ Because $Q < c$ you cannot reject the null
hypothesis, so you conclude that your 150 observed
rolls of the die are consistent with a fair die.
qchisq(.95, 5)
[1] 11.0705
P-value of the test. The P-value is the probability in the right-hand tail
of $\mathsf{Chisq}(5)$ beyond the observed value $Q = 7.92.$ That is, $0.1607 > 0.05,$ so you cannot reject the null hypothesis.
1 - pchisq(7.92, 5)
[1] 0.1607
In the figure below the density function of $\mathsf{Chisq}(5)$ is shown along with the observed
value $Q = 7.92$ (solid vertical line) and the
critical value $c = 11.0705$ (dotted vertical line).
The P-value is represented by the area to the right
of the solid vertical line.

Chi-squared goodness-of-fit test in R. In R statistical software, this test is performed as shown below. (The default null hypothesis is that categories are equally likely.)
chisq.test(X)
Chi-squared test for given probabilities
data: X
X-squared = 7.92, df = 5, p-value = 0.1607
Does $Q$ really have a chi-squared distribution? The test statistic has nearly a chi-squared distribution. As the sample size become infinite, the approximate becomes better. Simulation studies have shown that the fit is quite good provided that the expected count for each category (face of the die) is 5 or greater; here we have $E = 25.$
The simulation below shows that the true significance level using critical value $c = 11.0705.$ is very nearly 5%. The simulation is based on finding the value $Q$ for a million 150-roll experiments with a fair die.
set.seed(614)
q = replicate(10^6,
chisq.test(tabulate(sample(1:6, 150, rep=T)))$stat)
c = qchisq(.95, 5); mean(q >= c)
[1] 0.049564
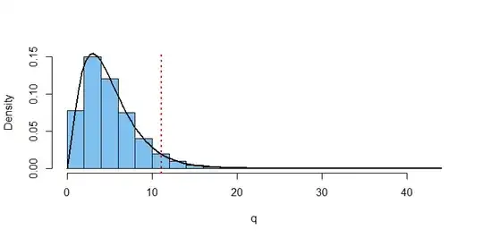
The histogram of the one million simulated values of $Q$ is shown below along with the density curve of $\mathsf{Chisq}(5).$ The proportion of the
simulated $Q$'s to the right of the critical value $c$ is very nearly 5%.

Power of the goodness-of-fit test. If your die is biased, then it is reasonable to ask how likely the test is to reject the null hypothesis. That probability is called the 'power' of the test.
Suppose we roll a 'loaded' die (perhaps with a lead weight embedded under face 1), for which the probability of getting 1 is $1/18,$ the probability of getting 6 is $5/18,$ and all other faces have probability $1/6.$
Thus the probability vector is not $p_0 = (1/6, 1/6, \dots, 1/6),$ as specified by the null hypothesis, but is has the alternative values $p_a = (1/18, 1/6, 1/6, 1/6, 1/6, 5/18).$
A simulation with such a biased die is shown below. We see that the power of the test against this alternative distribution is about 98.5%.
So we the test is almost sure to reject the null
hypothesis that such a die is fair.
set.seed(2019) ; p.a=c(1,3,3,3,3,5)/18
q = replicate(10^6,
chisq.test(tabulate(sample(1:6, 150, rep=T, prob=p.a)))$stat)
c = qchisq(.95, 5)
mean(q >= c)
[1] 0.984847

Theoretically, for large sample sizes, the distribution of the test statistic $Q$ is now a noncentral chi-squared distribution. The
noncentrality parameter is
$$\lambda = n\sum_{i=1}^6 \frac{(p_{ai}-p_{0i})^2}{p_{01}}.$$
Using the noncentrality parameter, we can get the
approximate power of the goodness-of-fit test against this specified alternative as 97.1%, which is not far from what we got from the simulation.
p.a = c(1,3,3,3,3,5)/18
lam = 150*sum((p.a-1/6)^2/(1/6)); lam
[1] 22.22222
1 - pchisq(c, 5, lam)
[1] 0.9709793
If the die were less heavily biased so that the respective values of faces 1 trough 6 are
$p_a = c(2/18, 1/6, 1/6, 1/6, 1/6, 4/18),$ then the power of the test would be only about 40%.
p.a = c(2,3,3,3,3,4)/18
lam = 150*sum((p.a-1/6)^2/(1/6)); lam
[1] 5.555556
1 - pchisq(c, 5, lam)
[1] 0.4018898
References; See Wikipedia for a basic explanation of the noncentral chi-squared distribution. This paper by W. Guenther in The American Statistician (1988) shows the use of the noncentral distribution in power computations for goodness-of-fit tests.