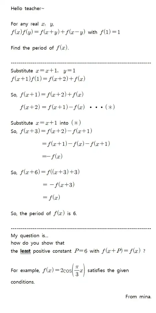
For any real $x$, $\;\;y$
$f(x)f(y)=f(x+y)+f(x-y)$ with $f(1)=1$
Find the period of $f(x)$.
-
1I think the first line in your problem should say $f(1) = 1$. – D.B. May 05 '19 at 03:19
-
Indeed, $2\cos((\pi/3)x)$ has a period of $6$. So, if you are trying to find a counterexample, this is not it. – D.B. May 05 '19 at 03:29
-
Ok @zongxiang, but for completeness, do we need to show that the period must be an integer? – D.B. May 05 '19 at 04:29
-
10Please, don't use images as main content of your post. This makes your question impossible to search and inaccessible to the visually impaired. Please transcribe text and mathematics (note that you can use LaTeX) and don't forget to give proper attribution to your sources. Here are some helpful tips to write a good question and write a good answer. – Pantelis Sopasakis May 18 '19 at 01:25
2 Answers
To summary, I am going to show the following result.
Main Theorem: Let $f$ be the function mentioned in OP. If the peroid of $f$ exists, then the peroid of $f$ only has one of the two forms: $\frac{6}{6n+1}$ and $\frac{6}{6n+5}$ for some $n\in \mathbb{N}$.
@Micah have shown the period $f$ "has" the peroids of $2\cos(\frac{6n\pm 1}{3}\pi x)$, i.e., either $\frac{6}{6n+1}$ or $\frac{6}{6n+5}$. In the following, the "only" is shown.
1. Notations and Lemmas.
Notation 1: Let $D$ be the domain of a function $f$. If $f(x+T)=f(x)$ for all $x\in D$, then $T\in D$ is a peroid of $f$. If $T$ is the least positive one, then $T$ is the peroid of $f$.
Notation 2: Let $\mathbb{Z}$ be the set of all integers. The set of nonnegative integers are denoted by $\mathbb{N}$.
We have two lemmas.
Lemma 1: If the period of $f$ exists, denoted by $P$, then the sete of all peroids is $$T=\{t\in \mathbb{R} \mid f(x+t)=f(x), \forall x \}=\{nP\mid n \in \mathbb{Z}\}.$$ Proof: Please see https://math.stackexchange.com/q/1012902 . Q.E.D.
Lemma 2: Let $f$ be the function in OP. Then the followings hold:
1). $6$ is a peroid of $f$, i.e., $f(x+6)=f(x)$ for all $x \in \mathbb{R}$;
2). $f(0)=2, f(1)=1,f(2)=-1,f(3)=-2,f(4)=-1,f(5)=1$;
3). $f(x+d) \ne f(x)$ for some $x \in \mathbb{R}$, $d=1,2,3$;
4). If the peroid of $f$ exists, then it must has the form $\frac{6}{q}$ where $q\in \mathbb{N}$.
Proof: 1) See the OP; 2) Obviously; 3) As you know $f(x+6)=f(x)$, it is neccesary to show that for any $d\mid 6$, $f(x+d)\ne f(x)$. Recall that $f(x+1)=f(x+2)-f(x)$, $f(x+3)=-f(x)$ and $f(1)=1$. 1. For $d=1$. If $f(x+1)=f(x)$ for all $x$, then we have $$f(1)=f(0+1)=f(2)-f(0)=0.$$ It is a contradiction.
For $d=2$. If $f(x+2)=f(x)$ for all $x$, then we have $$f(1)=f(0+1)=f(2)-f(0)=0.$$ It is a contradiction.
For $d=3$. If $f(x+3)=f(x)$ for all $x$, then we have $$f(x)=0.$$ It is a contradiction.
4) According to Lemma1 and 1) of Lemma2, if the peroid of $f$ exists, then it must has the form $\frac{6}{q}$ where $q\in \mathbb{N}$.
Q.E.D.
2. The Proof of Main Theorem.
1). If $q=6n$, where $n\in \mathbb{N}$, then the peroid is $\frac{6}{6n}=\frac{1}{n}$. By Lemma 1, $1$ is a peroid. It contradicts to 3) of lemma 2.
2). If $q=6n+1$, where $n\in \mathbb{N}$, then the peroid is $\frac{6}{6n+1}$. For example, $f(x)=2\cos(\frac{6n+1}{3}\pi x)$ and the peroid of $f$ is $\frac{6}{6n+1}$.
3). If $q=6n+2$, where $n\in \mathbb{N}$, then the peroid is $\frac{6}{6n+2}=\frac{3}{3n+1}$. By Lemma 1, $3$ is a peroid. It contradicts to 3) of lemma 2.
4). If $q=6n+3$, where $n\in \mathbb{N}$, then the peroid is $\frac{6}{6n+3}=\frac{2}{2n+1}$. By Lemma 1, $2$ is a peroid. It contradicts to 3) of lemma 2.
5). If $q=6n+4$, where $n\in \mathbb{N}$, then the peroid is $\frac{6}{6n+4}=\frac{3}{3n+2}$. By Lemma 1, $3$ is a peroid. It contradicts to 3) of lemma 2.
6). If $q=6n+5$, where $n\in \mathbb{N}$, then the peroid is $\frac{6}{6n+5}$. For example, $f(x)=2\cos(\frac{6n+5}{3}\pi x)$ and the peroid of $f$ is $\frac{6}{6n+5}$.
Q.E.D.
- 1,174
-
1
-
If fractions are considered, then the fundamental period must be $\frac{6}{q}$, where $q\in \mathbb{Z}$. – Zongxiang Yi May 07 '19 at 04:17
-
It's probably worth noting that your proof shows that my functions give the only possible fundamental periods. If $q \not\equiv \pm 1 \pmod{6}$, then either 1,2, or 3 will be a period of $f$, which you've proved is impossible. – Micah May 07 '19 at 16:20
-
Your answer shows what the period of $f$ has while my answer shows only what the period of $f$ has. @Micah – Zongxiang Yi May 18 '19 at 10:23
If $f(x)=2\cos\left(\frac{5\pi}{3}x\right)$, then $f$ satisfies the constraints of the problem. But $f(x+6/5)=f(x)$, so $6$ is not the fundamental period of $f$.
In general we could have $f(x)=2\cos\left(\frac{6n \pm 1}{3}\pi x\right)$ for any $n$, so the fundamental period of $f$ can be made arbitrarily small.
- 38,108
- 15
- 85
- 133
