11

Suppose we have two vectors $x$ and $y$ in $\mathbb{R}^n$ that satify

  1. $\|x\|=\|y\|=1$
  2. $<x,y>=0$
  3. $\sum_{i=1}^{n}{x_{i}}=\sum_{i=1}^{n}{y_i}=0$

That is $x$ and $y$ are of norm 1, $x\perp y$ and $x,y \perp e$ where $e=(1,…,1)$. Here both the norm and the inner product are the familiar Euclidean one. My question is, in such case, do we have $$\sum_{1\leq i<j\leq n}{|x_{i}-x_{j}||y_{i}-y_{j}|}\leq n-1$$

When $n=3$ this inequality can be verified by pure calculation. I suppose this is true for all integers $n\geq 3$. Could anyone help me prove this or give a counter example? Thanks in advance!

Greywhite
  • 434

3 Answers3

2

Here is a partial answer.

You have, using the Cauchy-Schwartz Inequality

$$ 2 \sum_{1\leq i<j\leq n}{|x_{i}-x_{j}||y_{i}-y_{j}|} \\ = \sum_{1\leq i\leq n}\sum_{1\leq j\leq n}{|x_{i}-x_{j}||y_{i}-y_{j}|} \\ \le (\sum_{1\leq i\leq n}\sum_{1\leq j\leq n}{|x_{i}-x_{j}|^2})^{1/2}(\sum_{1\leq i\leq n}\sum_{1\leq j\leq n}{|y_{i}-y_{j}|^2})^{1/2} \\ = (\sum_{1\leq i\leq n}\sum_{1\leq j\leq n}{(x_{i}^2-2 x_{i} x_{j} + x_{j}^2)})^{1/2}(\sum_{1\leq i\leq n}\sum_{1\leq j\leq n}{(y_{i}^2-2 y_{i} y_{j} + y_{j}^2)})^{1/2}\\ = (2n - 2 \sum_{1\leq i\leq n}\sum_{1\leq j\leq n}{x_{i} x_{j} })^{1/2}(2n - 2 \sum_{1\leq i\leq n}\sum_{1\leq j\leq n}{y_{i} y_{j} })^{1/2}\\ = (2n - 2 (\sum_{1\leq i\leq n}{x_{i} })^2)^{1/2} (2n - 2 (\sum_{1\leq i\leq n}{y_{i} })^2)^{1/2} \\ = 2n $$

So this is close, but $2n -2$ was required. Note that there is only one inequality in the chain of reasoning (Cauchy-Schwartz). It is known that Cauchy-Schwartz holds with equality if and only if the two vectors $|x_{i}-x_{j}|$ and $|y_{i}-y_{j}|$ are in the same direction, i.e. if for all $i,j$: $|x_{i}-x_{j}|= c |y_{i}-y_{j}|$ with some constant $c$. If this were the case, you had a contradiction to your inequality.

I guess it is pretty unlikely that this happens since there is still the orthogonality condition which was never used in the above reasoning.

Andreas
  • 15,175
2

My previous answer established that $\sum_{1\leq i<j\leq n}{|x_{i}-x_{j}||y_{i}-y_{j}|} \le n $. Here is an improvement where I can show that $\sum_{1\leq i<j\leq n}{|x_{i}-x_{j}||y_{i}-y_{j}|} \le n -\frac14 $.

Note that $$ 2 \sum_{1\leq i<j\leq n}{|x_{i}-x_{j}||y_{i}-y_{j}|} \\ = \sum_{1\leq i\leq n}\sum_{1\leq j\leq n}{|x_{i}-x_{j}||y_{i}-y_{j}|} $$ Now we use an estimate for the individual terms. By the first condition we have that $ 1 = \sum_{1\leq i\leq n}{x_{i}^2 } $ and hence, for a pair (i,j) with $i \ne j$, we have $ x_i^2 + x_j ^2 \le 1 $. This gives, by Cauchy-Schwartz, that $$ |x_{i}-x_{j}| \le |x_{i}|+ |x_{j}| \le \sqrt 2 \cdot \sqrt{x_i^2 + x_j ^2 } \le \sqrt 2 $$ Now look at an individual term in the original inequality. Denote $ a= |x_{i}-x_{j}|$ and $ b = |y_{i}-y_{j}|$ where $0 \le a,b \le \sqrt 2$. Observe the following equality:

$$ ab = \frac12 (a^2 + b^2) - \frac{(a^2 - b^2)^2}{2(a+b)^2} $$

Applying this term-wise to the original inequality gives

$$ \sum_{1\leq i\leq n}\sum_{1\leq j\leq n}{|x_{i}-x_{j}||y_{i}-y_{j}|} \\ = \frac12 \sum_{1\leq i\leq n}\sum_{1\leq j\leq n} (x_{i}-x_{j})^2 + \frac12 \sum_{1\leq i\leq n}\sum_{1\leq j\leq n} (y_{i}-y_{j})^2 \\ \qquad - \frac{1}{2} \sum_{1\leq i\leq n}\sum_{1\leq j\leq n} \frac{((x_{i}-x_{j})^2 - (y_{i}-y_{j})^2)^2 }{(|x_{i}-x_{j}|+|y_{i}-y_{j}|)^2} $$

For the last term we can apply Cauchy-Schwartz in the form $$ \sum_k \frac{(a_k^2 - b_k^2)^2}{(a_k+b_k)^2} \ge \frac{\left[\sum_k (a_k^2 - b_k^2)^2\right]^2}{\sum_k(a_k+b_k)^2(a_k^2 - b_k^2)^2} $$ Since further $a_k,b_k \le \sqrt 2$, we have $(a_k+b_k)^2 \le 8$. Note that this is a very crude approximation. Refining this approximation in either of the denominators could obviously lead to better overall results, however I didn't succeed here.

We obtain $ \sum_k \frac{(a_k^2 - b_k^2)^2}{(a_k+b_k)^2} \ge \frac18 \sum_k(a_k^2 - b_k^2)^2 $. This gives that $$ \sum_{1\leq i\leq n}\sum_{1\leq j\leq n}{|x_{i}-x_{j}||y_{i}-y_{j}|} \\ \le \frac12 \sum_{1\leq i\leq n}\sum_{1\leq j\leq n} (x_{i}-x_{j})^2 + \frac12 \sum_{1\leq i\leq n}\sum_{1\leq j\leq n} (y_{i}-y_{j})^2 \\ \qquad - \frac{1}{16} \sum_{1\leq i\leq n}\sum_{1\leq j\leq n} ((x_{i}-x_{j})^2 - (y_{i}-y_{j})^2)^2 $$

We can now evaluate these sums separately, and here and in the following make use of index re-assignment $(i \leftrightarrow j)$ where appropriate. The first sum gives $$ \frac12 \sum_{1\leq i\leq n}\sum_{1\leq j\leq n} (x_{i}-x_{j})^2 \\ = \frac12 \sum_{1\leq i\leq n}\sum_{1\leq j\leq n} (x_{i}^2 + x_{j}^2) - \sum_{1\leq i\leq n}\sum_{1\leq j\leq n} x_{i}x_{j}\\ = n \sum_{1\leq i\leq n} x_{i}^2 - (\sum_{1\leq i\leq n} x_{i})^2 = n $$ where the conditions of the original task were used. The same result holds for the second sum. The third sum demands again opening the brackets. Let us define $S$ by $$ S= \sum_{1\leq i\leq n}\sum_{1\leq j\leq n} \left[((x_{i}-x_{j})^2 - (y_{i}-y_{j})^2)^2 \right]\\ = \sum_{1\leq i\leq n}\sum_{1\leq j\leq n} (x_{i}-x_{j})^4 + \sum_{1\leq i\leq n}\sum_{1\leq j\leq n} (y_{i}-y_{j})^4 - 2\sum_{1\leq i\leq n}\sum_{1\leq j\leq n} (x_{i}-x_{j})^2 (y_{i}-y_{j})^2 $$ Let us look at the three sums separately: $$ \sum_{1\leq i\leq n}\sum_{1\leq j\leq n} (x_{i}-x_{j})^4 \\ = \sum_{1\leq i\leq n}\sum_{1\leq j\leq n} (x_{i}^4 - 4 x_ix_j^3 + 6 x_i^2x_j^2 - 4 x_i^3x_j + x_{j}^4)\\ = 2 n \sum_{1\leq i\leq n} x_{i}^4 - 8 \sum_{1\leq i\leq n}x_i\sum_{1\leq j\leq n} x_j^3 + 6 \sum_{1\leq i\leq n}x_i^2\sum_{1\leq j\leq n} x_j^2\\ = 2 n \sum_{1\leq i\leq n} x_{i}^4 + 6 $$ since the middle terms disappear by the third condition in the orginal task. Likewise $$ \sum_{1\leq i\leq n}\sum_{1\leq j\leq n} (y_{i}-y_{j})^4 = 2 n \sum_{1\leq i\leq n} y_{i}^4 + 6 $$ The third sum gives $$ 2 \sum_{1\leq i\leq n}\sum_{1\leq j\leq n} (x_{i}-x_{j})^2 (y_{i}-y_{j})^2 \\ = 4 n \sum_{1\leq i\leq n} x_{i}^2 y_i^2 + 4 \sum_{1\leq i\leq n}x_i^2\sum_{1\leq j\leq n} y_j^2 -8 \sum_{1\leq i\leq n}\sum_{1\leq j\leq n} \left[ 2 x_ix_jy_j^2 + 2 y_iy_jx_j^2 - 2 x_ix_jy_iy_j\right]\\ = 4 n \sum_{1\leq i\leq n} x_{i}^2 y_i^2 + 4 -16 \sum_{1\leq i\leq n}x_i\sum_{1\leq j\leq n}x_jy_j^2 -16 \sum_{1\leq i\leq n}y_i\sum_{1\leq j\leq n}y_jx_j^2 + 16 \sum_{1\leq i\leq n}x_iy_i\sum_{1\leq j\leq n}x_jy_j\\ = 4 n \sum_{1\leq i\leq n} x_{i}^2 y_i^2 + 4 $$ since the last three terms disappear by the second and third condition in the orginal task. This second condition (orthogonality) was used here for the first time.

Collecting these results gives $$ S = 8 + 2 n \sum_{1\leq i\leq n} (x_{i}^2- y_i^2)^2 $$ Now we have that $$ \sum_{1\leq i\leq n}\sum_{1\leq j\leq n}{|x_{i}-x_{j}||y_{i}-y_{j}|} \le 2n - \frac{1}{16} S \\ = 2n - \frac12 - \frac{n}8 \sum_{1\leq i\leq n} (x_{i}^2- y_i^2)^2 \le 2n - \frac12 $$ and hence, considering the original inequality, we have that $$ \sum_{1\leq i<j\leq n}{|x_{i}-x_{j}||y_{i}-y_{j}|} \le n - \frac14 $$

Andreas
  • 15,175
0

Following the proof @Andreas using CBS we have the following refinement :

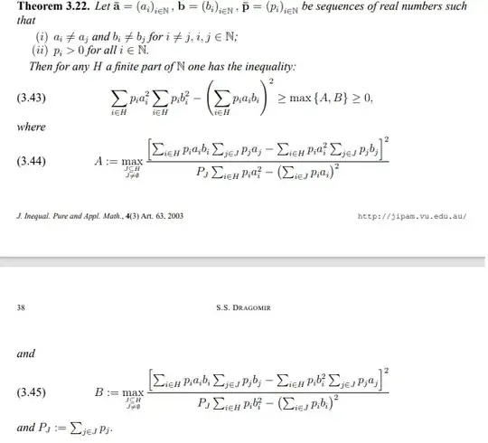
CBSRefinement

Particular case :

If $p_i=1$ ,$\sum_{i\in J }a_jp_j=0$ ,$\sum_{i\in H }p_ia_i^2=2n$,$\sum_{j\in J}p_jb_j=2$, $P_j=2$ ,$\sum_{i\in J} p_ia_i=0$

Then we can take the value :

$$A=4n$$

Second example :

If $p_i=\frac{1}{n}$ ,$\sum_{i\in J }a_jp_j=0$ ,$\sum_{i\in H }p_ia_i^2=2n$,$\sum_{j\in J}p_jb_j=\frac{1}{n}$, $P_j=\frac{1}{n}$ ,$\sum_{i\in J} p_ia_i=0$

We can take the value :

$$A=2n$$

This result is almost equivalent to the proof @Andreas.

Reference :

@article{Dragomir2003ASO, title={A Survey on Cauchy-Buniakowsky-Schwartz Type Discrete Inequalities}, author={Sever Silvestru Dragomir}, journal={Mathematics eJournal}, year={2003} }

https://www.semanticscholar.org/paper/A-Survey-on-Cauchy-Buniakowsky-Schwartz-Type-Dragomir/4ef9912775e7c66ee1cb13b93270a8c8c79a67f4