0

enter image description here

enter image description here

enter image description here

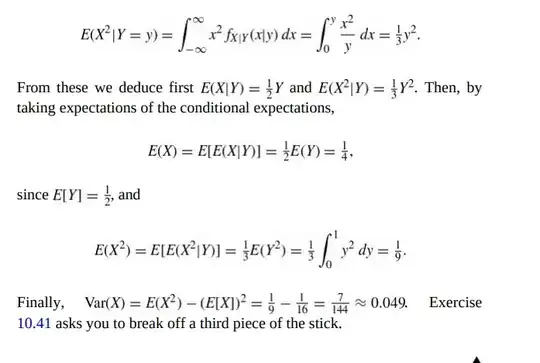
My work:

enter image description here

I kind of know how to compute $E(Z)$ and $Var(Z)$ but still don't understand why $f_{Z|X}(Z|X)=1/X$ if $0<Z<X<1.$

Can anyone explain to me specifically how to come up with this?

Kenta S
  • 16,151
  • 15
  • 26
  • 53
Michelle
  • 31
  • 5

0 Answers0