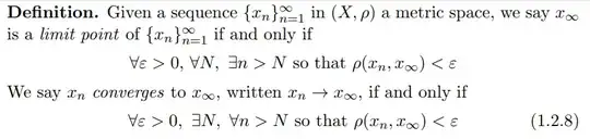
Some background (all of this is from Barry Simon's "Real Analysis - A comprehensive course in analysis - vol 1"):
Reading both definitions I can see the difference between weakly sequentially compact and sequentially compact, but I can't find an example of a topological space which is weakly sequentially compact but not sequentially compact or at least one space where we have a sequence with at least one limit point but which doesn't have any convergent subsequence.
Here are some potential counter examples some friends and I thought of but didn't work:
Consider $\mathbb{N} \times \{0, 1\}$ where $\mathbb{N}$ has the discrete topology and the latter the indiscrete one. Now, the sequence:
$(1, 0), (1, 1), (2, 0), (2, 1), \cdots$
clearly has no limit point. It's also pretty clear that it doesn't have any convergent subsequence.

